1.24 청약.북서울자이 폴라리스 분양가.중도금대출.잔금대출

안녕하세요, 부동산 리뷰해주는 남자, 부리남입니다.
오늘은 북서울자이 폴라리스입니다. 미아3구역 재개발 사업으로 1045세대 중 327세대가 일반분양으로 나왔습니다. 분양가상한제가 적용되지 않아 거주의무가 없습니다. 우이신설선의 삼양역과 4호선 미아역 더블역세권입니다. 게다가, 2025년 개통예정인 동북선을 이용하면, 미아사거리역에서 강남선릉역까지 30분이내에 이동이 가능해집니다. 그동안 동북권의 아쉬웠던 강남접근성이 해결됩니다. 게다가 수유초와 삼양초가 가깝고, 선호학군 중 하나인 영훈초중고 역시 가깝습니다. 롯데마트와 현대백화점도 편리하게 이용할 수 있는데요. 같은 생활권인 래미안길음센터피스의 호가는 이미 호가가 19억에 달합니다. 그럼, 이제 리뷰 시작하겠습니다.
이재용 아들 입학한 '영훈국제중'은 어떤 학교? (newstomato.com)
이재용 아들 입학한 '영훈국제중'은 어떤 학교?
www.newstomato.com
기본 PICK
- 모집공고
- 공급위치 : 서울특별시 강북구 미아동 791-364번지 일대 (미아 3구역 주택재개발 정비사업)
- 공급규모 : 아파트 지하 3층, 지상 8~22층 15개동 총 1,045세대 중 일반분양 327세대
- 청약방법 : 청약홈(https://www.applyhome.co.kr)
- 분양홈페이지 : 북서울자이 폴라리스 공식홈페이지
자이
made in xi, 자이
xi.co.kr
일정 PICK
- 모집공고 : 1월 11일
- 특별공급 : 1월 21일
- 1순위접수 : 1월 24일
- 당첨자 발표 : 2월 4일
- 계약일 : 2월 22일~26일
- 입주예정일 : 2024년 8월
자격 PICK
- 서울특별시에 거주하거나 경기도 및 인천광역시에 거주하는 만19세 이상인 자
- 세대주인 미성년자(자녀양육, 형제자매 부양)
- 서울시 2년 이상 계속 거주자에게 우선 공급
- 청약통장에 가입하여 2년이 지난 자로서 예치기준금액을 납입 할 것
- 세대주일 것
- 과거 5년 이내 당첨된 자의 세대에 속하지 않을 것
- 2주택 이상을 소유한 세대에 속하지 않을 것
- 전용면적 85㎡ 이하 : 가점제 (100%) 적용
- 전용면적 85㎡ 초과 : 가점제 (50%) 및 추첨제(50%) 적용
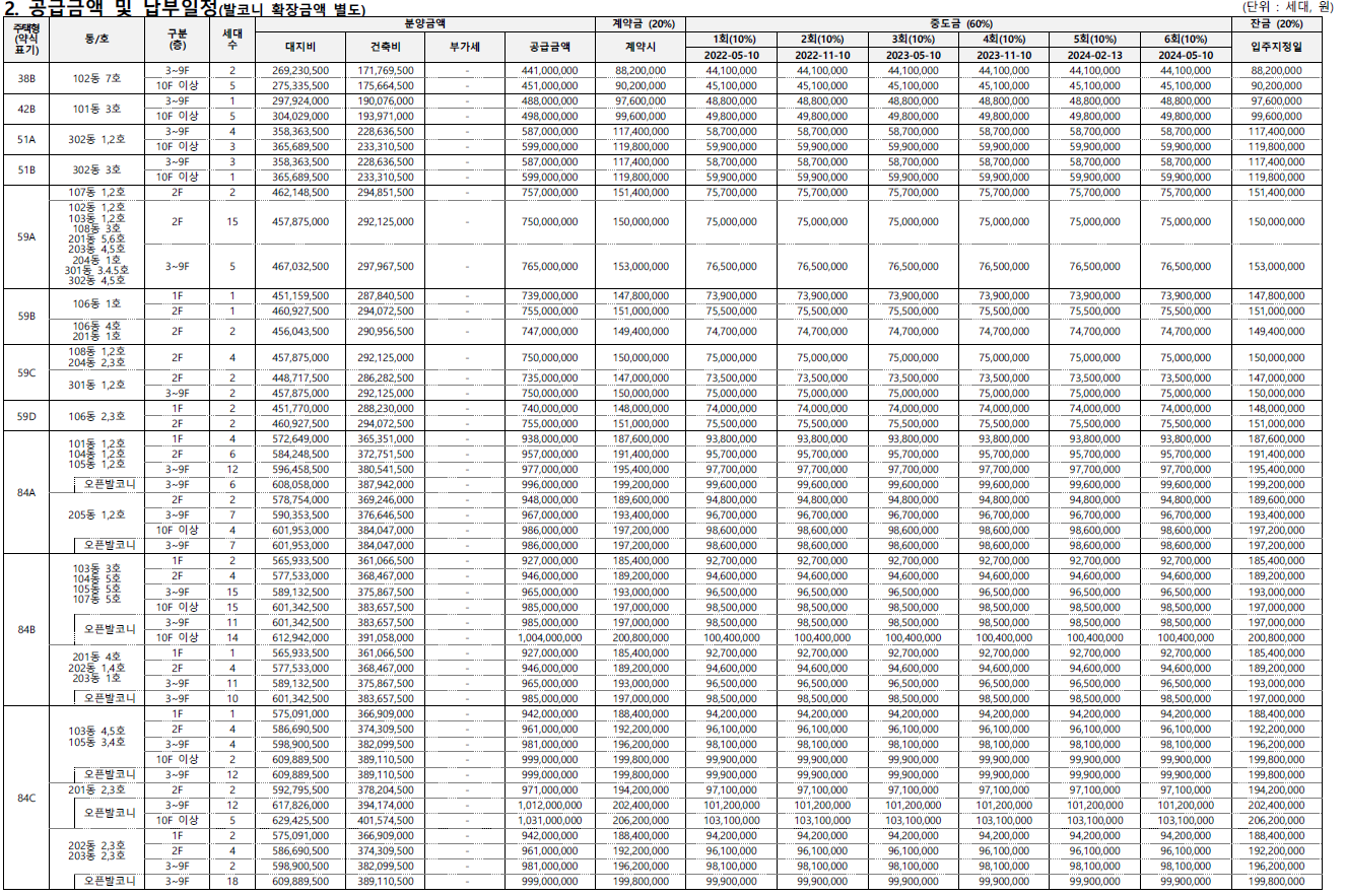
주요 타입.세대수.분양가PICK
총 2745세대 중 일반분양 327세대
다루지 않은 타입은 38,42,51(A/B)타입입니다. 분양홈페이지를 통해 확인하여 주시기 바랍니다.
- 59A타입(22세대) : 7.65억
- 59B타입(4세대) : 7.55억
- 59C타입(8세대) : 7.55억
- 59D타입(4세대) : 7.55억
- 84A타입(48세대) : 9.96억
- 84B타입(87세대) : 10.04억
- 84C타입(68세대) : 10.03억
- 112타입(62세대) : 13.4억




주요 단지배치도 및 평면도 PICK
다루지 않은 타입은 38,42,51(A/B)타입입니다. 분양홈페이지를 통해 확인하여 주시기 바랍니다.













입지환경 PICK


지역 수요공급 PICK
출처 : 부동산지인 (aptgin.com)
부동산지인
빅데이터 기반의 아파트 정보 사이트를 만나보세요
aptgin.com

부리남 PICK
1. 비교단지 호가 vs 분양가
- 래미안길음센터피스 84㎡ 호가 : 16~19.1억
- 북서울자이 폴라리스 84㎡ 분양가 : 10.04억
- 래미안길음센터피스(2019년 11월 준공, 2352세대)는 미아사거리 초역세권 단지이자, 신축 대단지 브랜드 아파트로 영훈초중고, 현대백화점이 있어 지역의 대단지입니다. 북서울자이 폴라리스와 비교하기에는 다소 무리가 있다는 평에는 동의합니다. 하지만, 초품아, 대단지, 브랜드, 역세권 요소를 감안한다면 디스카운트 요소는 많지 않습니다. 연식차이 6년을 추가로 감안한 비교가치는 13.62~16.17억으로 안전마진은 3.58~6.13억입니다.
2. 규제사항 : 투기과열지역, 분양가상한제 미적용
3. 전매제한(당첨자발표일 기준) : 소유권이전등기/(특공) 등기후 2년
4. 재당첨제한(당첨자발표일 기준) : 10년
5. 거주의무(입주시점 기준) : 없음
6. 중도금대출 : 9억이하 타입만 40%(자납20%)
- 9억초과도 자체보증 계획중(영상참고)
7. 특별공급 경쟁률


8. 최종의견
북서울자이 폴라리스는 고분양가라는 우려와 달리 안전마진이 충분한 곳입니다. 분양가상한제가 적용되었다면 7억대의 분양가로 안전마진은 10억에 가까웠을 것입니다. 미아3구역 조합원 입장에서는 사업성이 좋아져 이번 분양가를 반겼겠지만, 일반분양으로 청약을 대기했던 분들에게는 난감합니다. 그나마 다행인 것은 9억초과 타입에 대해서는 시행사 자체 보증을 계획 중이라고 합니다. 최근 송도 자이 더 스타가 고분양가로 중도금대출이 안되는 세대가 많아 미계약이 속출했는데요. 이에 대해 사전에 대처하는 모습입니다. 이번에 모든 타입을 다루지는 않았습니다. 저가점자들은 111타입의 추첨제 50%를 노리거나, 신혼부부 140% 소득초과(59A, 59C), 생애최초 1인가구(59A)도 신청 가능합니다. 다만, 괄호 안의 세대수만 지원하시기 바랍니다. 타 타입은 1세대만 모집해서, 무의미한 지원입니다. 올해 모집공고부터는 잔금대출에 DSR이 적용됩니다. LTV 40%를 적용한다면, 84타입이 입주시점 12억으로 감정평가를 받는다고 가정했을 때, 4.2억 대출이 가능합니다. 현금은 5.8억이 필요합니다. 하지만, 연봉 5000만원, 금리 4%, 30년 잔금대출을 받는다고 가정했을 때, DSR40%를 적용한다면, 대출가능금액은 2.8억입니다. 필요한 현금은 1.4억이 늘어난 총 7.2억입니다. 금리는 더 올라가고 있어 불리한 상황입니다. 잔금대출까지 고려해서 자금계획하시기 바랍니다. 아래 부동산계산기를 통해서 DSR도 계산해보시고요. 이상, 부동산 리뷰해주는 남자, 부리남이었습니다.
부동산계산기
부동산계산기 DTI DSR 신DTI LTV 등기수수료 법무사수수료 공인중개사 중개수수료 종합부동산세 재산세 양도소득세 공동명의 임대수익률
xn--989a00af8jnslv3dba.com
단톡방 및 채널 안내
함께 부동산을 공부하는 단톡방 문은 매달 2일에 열립니다.
2022년 단톡방 정원은 500명으로 줄일 예정입니다.
별도 공지없이 2월 2일 비밀번호 해제합니다.
오픈시간은 대체로 04-10시 사이입니다. 00시부터 대기하시지 않으셔도 됩니다.
부의 사다리 : https://open.kakao.com/o/gO3aTU6c
부의 사다리
#청약 #분양권 #줍줍 #사후접수 #잔여세대 #공공분양 #청무피사 #재건축 #재개발
open.kakao.com
단톡방에 참여하지 못하시는 분들은 채널추가를 통해서 오늘의 청약요약, 줍줍요약, 리뷰단지 소식을 매일 전달받으실 수 있습니다.
부의 사다리 : http://pf.kakao.com/_aAkAb
부의 사다리
부동산 스터디(청약/무순위청약/줍줍/재개발/재건축/세법/대출)
pf.kakao.com
주의사항
1. 게시자 : 부리남은 청약강사나 청약전문가가 아니며, 강의나 출판에 관심이 없습니다. 댓글을 통한 출판사나 학원의 강의요청은 정중히 거절합니다. 모집공고와 분양홈페이지를 기반으로 포스팅을 합니다. 자주 틀립니다. 틀린 부분을 알려주시면, 수정합니다.
2. 투자 : 부리남 개인적인 의견이니 투자의 책임은 투자자 본인에게 있음을 알려드립니다.
3. 저작권 : 본 포스팅을 무단복제한 경우, 사전안내없이 네이버/다음에 신고합니다. 계정정지나 삭제의 불이익이 없도록 무단복제는 주의 부탁드립니다.