상시 줍줍! 송도자이풍경채 그라노블 분양가, 평면도, 대출

안녕하세요, 부리남입니다.
오늘은 송도자이풍경채 그라노블 선착순동호지정계약(상시 줍줍) 정보를 살펴보겠습니다. 송도자이풍경채 그라노블은 인천광역시 연수구 송도동 551-1번지, 552번지, 554번지, 553번지, 553-2번지에 위치합니다. 각 단지별로 규모는 1단지(최고 29층, 6개동, 총 469세대), 2단지(최고 29층, 7개동, 총 548세대), 3단지(최고 45층, 3개동, 총 597세대), 4단지(최고 47층, 2개동, 총 504세대), 5단지(최고 45층, 3개동, 총 610세대) 규모입니다. 송도자이풍경채 그라노블은 5개의 단지로 나눠지고, 아파트 총 2638세대, 오피스텔 총 542실을 공급합니다. 이중 잔여세대를 선착순 줍줍으로 지난 4월 13일에 진행했는데요. 이후 선착순동호지정계약(상시 줍줍)으로 전환했습니다.
송도자이풍경채 그라노블은 송도 11공구의 첫 분양단지이자, 가장 큰 규모로 공급하는 만큼 기대를 받았던 곳입니다. 송도 11공구는 7조 5천억 규모의 삼성바이오로직스와 롯데바이오로직스가 계획되어 있어 일자리의 중심이 될 곳입니다. 그리고, 송도 세브란스병원이 2026년 12월 개원 예정인데요. 단지의 바로 북쪽에 위치하고, 연세대 국제캠퍼스 2단계와 인하대 송도캠퍼스가 단지를 둘러싸고 있어 직접적인 호재의 영향권에 있습니다. 그야말로 단지 주변으로 직주근접 수요가 넘쳐날 곳인데요. 대규모의 워터프론트 사업이 예정되어있고, 유초중학교까지 단지 바로 앞에 들어섭니다. 10년차가 되어가는 송도 거주자들에게도 상당히 매력적인 곳입니다.
입주자 모집공고
(오른쪽 화살표를 눌러야 볼 수 있습니다)
청약자격
▶ 청약통장 사용 X
▶ 세대주, 세대원 모두 계약가능
▶ 유주택자도 계약가능
▶ 전입의무 / 실거주의무 無
▶ 중도금 대출 2건 가능(개인별 상이)
청약일정
- 최초 모집공고 : 2024년 2월 29일
- 선착순동호지정계약 : 상시
- 입주예정일 : 2027년 6월(1,2단지)/2028년 4월(3,4,5단지)
청약방법
▶ 견본주택 방문
- 주소 : 연수구 송도동 174-7
- 문의 : 1660-1145
▶ 견본주택 방문후 동호지정계약
▶ 특이사항
1) 계약금 5%
2) 발코니확장 무상
3) 전매제한 6개월
▶ 공통 구비서류
(보통 안내는 이렇게 하지만, 실제로는 신분증과 계약금만 챙겨가시면 됩니다)
(추후 방문 제출 가능)
1) 신분증
2) 주민등록표등본 1부
3) 인감증명서(또는 본인서명사실확인서) 1부
4) 인감도장(또는 서명)
5) 대리인 추첨 및 계약 시(추가) : 위임장(견본주택 내 비치), 인감증명서(위임용) 1부, 대리인 신분증 및 도장
※ 모든 구비 서류는 1개월 이내 발급분에 한합니다.
※ 본인 외(배우자 포함) 모두 제3자로 간주합니다.

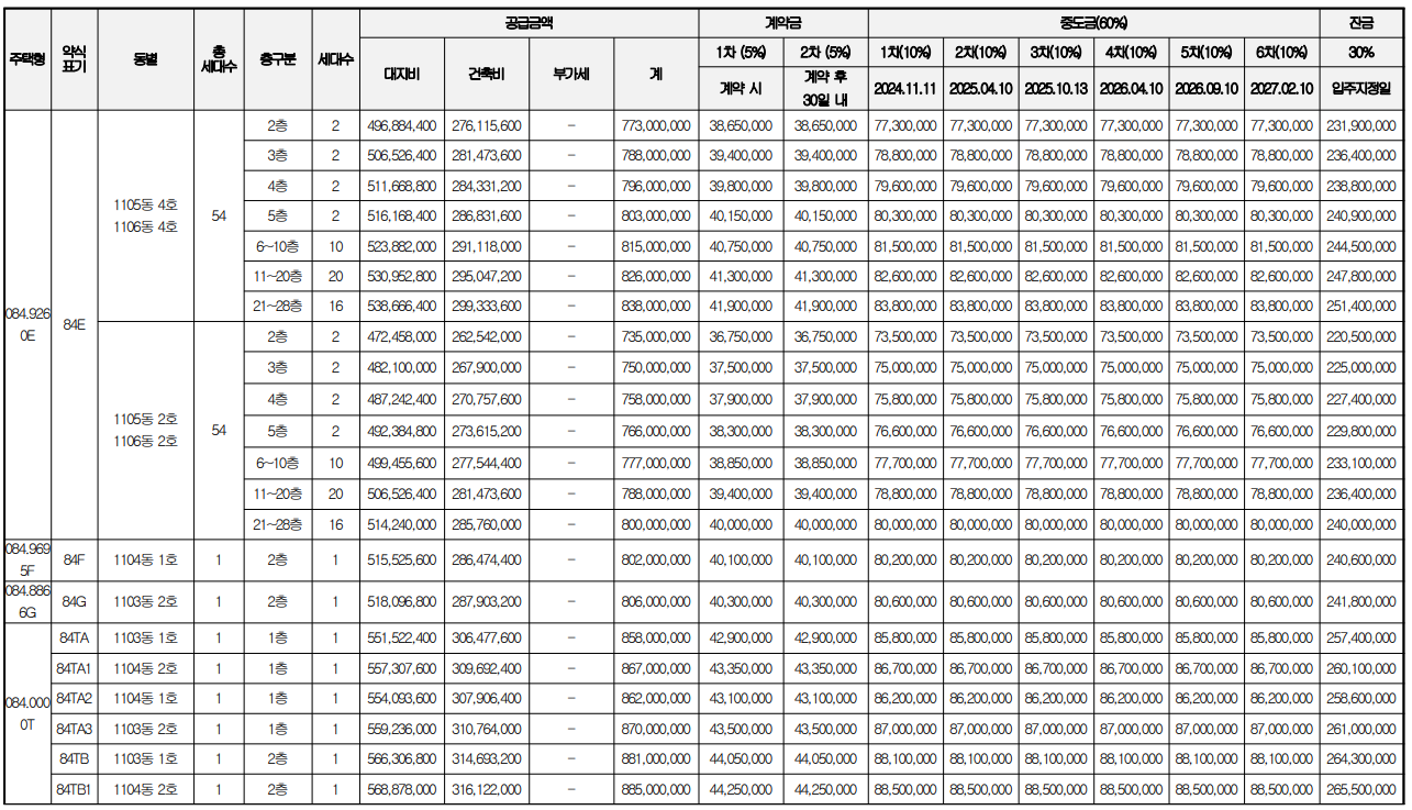
공급규모 및 분양가(1단지)
총 469세대
* 잔여세대 비공개
*발코니 무상 제공
- 84A타입(174세대) : 8.64억
- 84B타입(16세대) : 8.58억
- 84C타입(50세대) : 8.72억
- 84E타입(108세대) : 8.38억
- 84F타입(1세대) : 8.02억
- 84G타입(1세대) : 8.06억
- 84T타입(6세대) : 8.85억
- 101A타입(54세대) : 10.0억
- 101B타입(54세대) : 9.77억
- 139P타입(1세대) : 19.91억
- 147P타입(2세대) : 21.19억
- 208P타입(2세대) : 28.58억




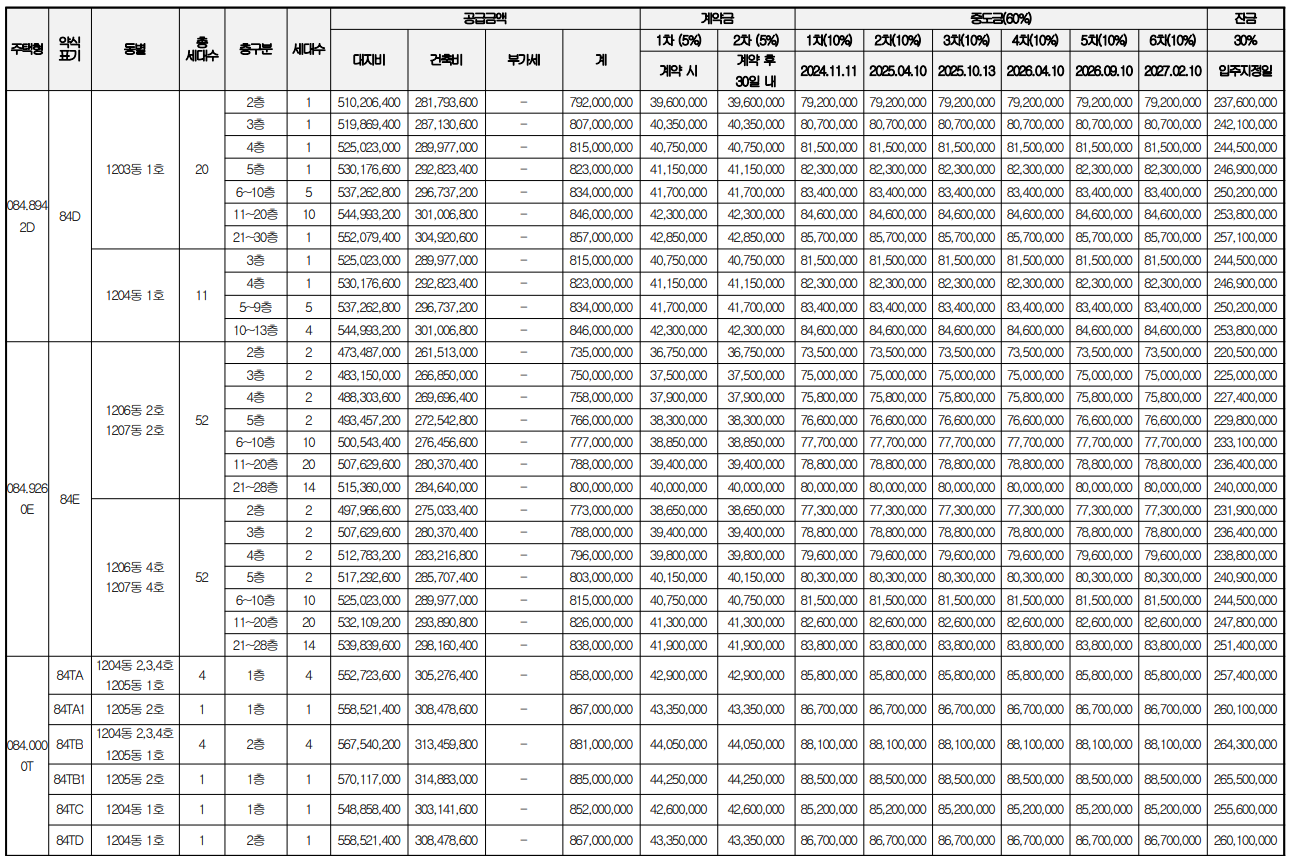
공급규모 및 분양가(2단지)
총 548세대
*발코니 무상 제공
- 84A타입(208세대) : 8.64억
- 84B타입(39세대) : 8.70억
- 84C타입(48세대) : 8.72억
- 84D타입(31세대) : 8.57억
- 84E타입(104세대) : 8.38억
- 84T타입(12세대) : 8.85억
- 101A타입(52세대) : 10.00억
- 101B타입(50세대) : 9.77억
- 139P타입(1세대) : 19.91억
- 147P타입(1세대) : 21.19억
- 208P타입(2세대) : 28.58억




공급규모 및 분양가(3단지)
총 597세대
*발코니 무상 제공
- 84A타입(118세대) : 8.76억
- 84B타입(122세대) : 8.83억
- 84C타입(118세대) : 8.86억
- 99타입(35세대) : 10.30억
- 101타입(119세대) : 10.16억
- 111타입(82세대) : 11.42억
- 149타입(3세대) : 21.67억



공급규모 및 분양가(4단지)
총 504세대
*발코니 무상 제공
- 84B타입(167세대) : 8.83억
- 101타입(173세대) : 9.72억
- 127타입(164세대) : 12.83억


공급규모 및 분양가(5단지)
총 610세대
- 84A타입(123세대) : 8.76억
- 84B타입(123세대) : 8.83억
- 84C타입(123세대) : 8.86억
- 101타입(120세대) : 10.16억
- 111타입(118세대) : 11.42억
- 149타입(3세대) : 21.67억



단지배치도 및 평면도(1,2단지)




















단지배치도 및 평면도(3,4,5단지)















입지환경









부리남 분석




1. 비교단지 호가 vs 분양가
- 송도캐슬해모로 84㎡ 호가 : 5.9억(16/32층)~
- 송도자이풍경채 그라노블 84㎡ 분양가 : 8.86억
- 송도캐슬해모로(2013년 9월 준공, 1439세대)를 비교 단지로 잡았습니다. 연세대캠퍼스에 둘러쌓인 단지이고, 중품아, 호수뷰가 가능한 단지입니다. 역과의 거리는 송도자이풍경채 그라노블처럼 멀리 떨어져 있습니다. 이를 감안한 비교가치는 7.45억으로 안전마진은 없습니다.
2. 규제사항 : 비규제지역, 분양가 상한제 미적용
3. 전매제한 : 6개월
4. 재당첨제한 : 없음
5. 거주의무 : 없음
6. 중도금대출 : 60%, 이자후불제
7. 최초 경쟁률
![]() |
![]() |
![]() |
![]() |
![]() |
8. 최종 의견
송도자이풍경채 그라노블은 11공구의 첫 단지라는 점에서 의미가 있습니다. 그리고, 11공구에는 주거용지가 많지 않다는 점에도 주목해야합니다. 이런 점에서 11공구는 상대적으로 저렴한 가격에, 브랜드 단지로써 희소성이 있을 것으로 보입니다. 또한, 위에서 언급했듯이 대학교와 대학병원, 삼성과 롯데 등 고수입자의 주거수요를 받을 수 있다는 점이 장점입니다. 단지 바로 맞은편 부지는 유승,대방이 더 높은 가격에 토지를 매입하여 더 비싸게 매입했기때문에 분양가 역시 그라노블보다 비쌀 수 밖에 없는데요. 이런 점은 전매제한이 풀렸을 때도 장점입니다. 준공기간도 길어, 전매기회도 많고요.
다만, 위에서 살펴보았듯이 단지별로 쪼개져있다는 점은 아쉽습니다. 하나의 단지로 규모있는 커뮤니티를 구성해야 대단지로써의 의미가 있는데, 단지별로 작은 커뮤니티가 구성되어있습니다. 그리고, 송도의 가장 외곽에 위치하여 지하철 접근성이 떨어집니다. 송도는 자차이동이 더 많다고 하지만, 향후 GTX-B가 연결되면, 또 다른 얘기입니다.
계약조건은 최초 분양당시와 변동없이 계약금 5%와 발코니확장 무상인데요. 아직 미계약분이 많아도, 송도 시세가 반등하면서 조건변경없이 완판을 기대하고 있는 모양입니다.
송도는 지금…3년 만에 웃음꽃 핀다 [전문가 현장진단] - 매경ECONOMY (mk.co.kr)
송도는 지금…3년 만에 웃음꽃 핀다 [전문가 현장진단]
GTX 효과는 언제까지
www.mk.co.kr
2024년 7월 2일 기준, 송도의 대장인 인천대입구역 더샵 퍼스트파크 84타입 매물이 10.7억(저/41층), 2024년 5월 준공하여 일대의 관심을 받고 있는 힐스테이트 송도 더 스카이는 8.83억(12/59층)으로 최초 리뷰 당시보다 1억가까이 반등하였습니다. 오션뷰 단지로는, 2024년 6월 준공한 송도자이크리스탈오션이 8.59억(5/42층)입니다. 역시 최저가 기준으로 8천만원 상승하였습니다. 다시 송도자이풍경채그라노블의 분양가를 살펴봅니다. 40층이 8.86억입니다. 아직 안전마진이 있다고는 할 수 없지만, 그나마 시세가 분양가를 받아줄만큼 올라왔습니다.
상시 줍줍에서 고려할 단지는 위에서 살펴보았듯이 1,5단지입니다. '뷰생뷰사'인 송도에서 서해바다와 워터프론트를 막힘없이 감상할 수 있는 단지입니다. 뷰가 확보된 곳을 잡을 수 있다면, 노려볼만합니다. 최근 단톡방을 모니터링한 결과, 잔여세대가 1000여세대가 남았다고 합니다. 총 2638세대니, 계약률 62% 정도라는 것인데요. 뷰+고층은 아니어도 뷰 또는 고층인 곳은 고를 수 있을 것으로 보입니다. 이전에 전해드렸던 기준을 다시 남겨봅니다.
* 1단지
- 저층이라 오션뷰보다는 워터프론트뷰에 집중
- 최고 층수 : 1103호(전면부 10층, 펜트하우스 11층), 1104호(전면부 10층, 펜트하우스 11층)

- 1103동 1, 2호라인 : 간섭없는 워터프론트뷰
- 1104동 1, 2호라인 : 간섭없는 워터프론트뷰
* 5단지
- 바다까지 거리가 있으므로, 고층이어야 오션뷰 가능
- 오션뷰와 워터프론트 모두 가능한 1501동 3호라인 추천
- 최고 층수 : 1501동(40층), 1503동(44층)

- 1501동 2호 라인 : 간섭없는 워터프론트 뷰(5층 이하는 중학교 간섭예상)
- 1501동 3,4호 라인 : 간섭없는 오션뷰(10층 이하는 인하대캠퍼스로 간섭예상)
- 1503동 2호라인 : 간섭없는 워터프론트 뷰(5층 이하는 중학교 간섭예상)
결론적으로는 있어(?)보이는 5단지 3호라인 고층(35층이상)에 집중할 것 같습니다. 없으면 차선책으로 선택할만한 동호수가 그나마 언급드렸던 곳들입니다. 직방 3D 단지투어로 노가다 결과로 선정했고요. 상시 줍줍 가실분들에게 좋은 레퍼런스가 되었으면 좋겠습니다. 다시한번 강조하지만, 이 단지는 안전마진이 아니라 VIEW의 희소성때문에 고려하는 단지입니다. 위의 선택지가 없다면, 꼭 모델하우스 문을 박차고 나오시기 바랍니다. 다른 동호수는 전매제한이 해제되는 9월 21일이후에 만나볼 수 있습니다. 그 안에 완판되지 않는다면, 마피로도 잡을 수 있는 기회가 있을 것으로 보입니다. 송도의 랜드마크 단지들이 입주를 시작하고, 수도권 청약 시장이 뜨거워진만큼, 계속 관심을 가지고 있어야할 단지입니다. 이상, 부동산 리뷰해주는 남자, 부리남이었습니다.

분양 홈페이지
자이
made in xi, 자이
xi.co.kr
단톡방 및 채널 안내
함께 공부하는 단톡방 '부의 사다리'(잠정폐쇄, 25년 1월부터 재개예정)
부의 사다리 : https://open.kakao.com/o/gO3aTU6c
사다리
#이사 #안전이동 #고층가능 #안전포장
open.kakao.com
(오)늘의 (매)물 (기)록 : '오매기'(운영중)
매일 단톡방 회원님들과 관심지역의 매물들을 공유하고 있는 방입니다. 매달 리포트 1건이 의무입니다. 열심히 하실 분들만 참석해주세요. 지난 하락장에서 부자들은 기회를 잡고 부의 사다리를 올랐습니다. 요새가 하락장이라면, 우리도 그래야합니다.
오매기 : https://open.kakao.com/o/gg4IrQAe
오매기
#쫀득쫀득 #당일취급 #제주도
open.kakao.com
붇옹산의 부동산스터디
대한민국 최고+최대의 부동산 카페의 방장님이신 붇옹산님의 네이버 프리미엄 콘텐츠에서도 제 글을 광고없이 만나실 수 있습니다. 붇옹산님이 직접 작성하시는 글을 볼 수 있는 기회는 흔치 않습니다. 부리남은 몰라도 삼토시님은 아시죠? 붇옹산, 삼토시, 그리고 부리남이 함께 하는 네이버 프리미엄 콘텐츠도 많은 관심 부탁드립니다.
붇옹산의 부동산스터디 : 네이버 프리미엄콘텐츠
200만 부동산스터디 카페 운영자 붇옹산의 부동산 투자로 돈 버는 공부.
contents.premium.naver.com
주의사항
1. 투자의 책임 : 게시글은 모집공고와 분양홈페이지를 기반으로 한 개인의 의견이며, 투자의 책임은 투자자 본인에게 있음을 알려드립니다.
2. 지적재산권 및 사용권한 : 본 포스팅의 지적재산권은 부리남에게 있으며, 컨텐츠의 사용권한은 별도의 계약을 체결한 자에 한합니다.




