3.12 청약! 송도자이풍경채 그라노블 분양가, 평면도, 중도금대출

안녕하세요, 부리남입니다.
오늘은 송도자이풍경채 그라노블 청약 정보(분양가, 평면도, 중도금대출)를 살펴보겠습니다. 송도자이풍경채 그라노블은 인천광역시 연수구 송도동 551-1번지, 552번지, 554번지, 553번지, 553-2번지에 위치합니다. 각 단지별로 규모는 1단지(최고 29층, 6개동, 총 469세대), 2단지(최고 29층, 7개동, 총 548세대), 3단지(최고 45층, 3개동, 총 597세대), 4단지(최고 47층, 2개동, 총 504세대), 5단지(최고 45층, 3개동, 총 610세대) 규모입니다. 송도자이풍경채 그라노블은 5개의 단지로 나눠지고, 아파트 총 2638세대, 오피스텔 총 542실을 공급합니다.
송도자이풍경채 그라노블은 송도 11공구의 첫 분양단지이자, 가장 큰 규모로 공급하는 만큼 기대를 받고 있는데요. 송도 11공구는 7조 5천억 규모의 삼성바이오로직스와 롯데바이오로직스가 계획되어 있어 일자리의 중심이 될 곳입니다. 그리고, 송도 세브란스병원이 2026년 12월 개원 예정인데요. 단지의 바로 북쪽에 위치하고, 연세대 국제캠퍼스 2단계와 인하대 송도캠퍼스가 단지를 둘러싸고 있어 직접적인 호재의 영향권에 있습니다. 그야말로 단지 주변으로 직주근접 수요가 넘쳐날 곳인데요. 대규모의 워터프론트 사업이 예정되어있고, 유초중학교까지 단지 바로 앞에 들어섭니다. 10년차가 되어가는 송도 거주자들에게도 상당히 매력적인 곳입니다.
입주자 모집공고
(오른쪽 화살표를 눌러야 볼 수 있습니다)
청약자격
- 인천광역시 및 수도권(서울특별시,경기도)지역에 거주하는 만 19세 이상인 자
- 세대주인 미성년자(자녀양육, 형제자매부양)
- 우선공급 : 인천광역시 50%+기타 50%
- 전용면적 85㎡ 이하 : 가점제 (40%) 및 추첨제(60%) 적용
- 전용면적 85㎡ 초과 : 추첨제(100%) 적용
청약일정
- 모집공고 : 2월 29일
- 청약접수 : 3월 12일
- 당첨자 발표 : 3월 20일(1,2단지)/21일(3,4,5단지)
- 계약일 : 4월 1일-7일
- 입주예정일 : 2027년 6월(1,2단지)/2028년 4월(3,4,5단지)
청약방법
https://www.applyhome.co.kr/co/coa/selectMainView.do
www.applyhome.co.kr
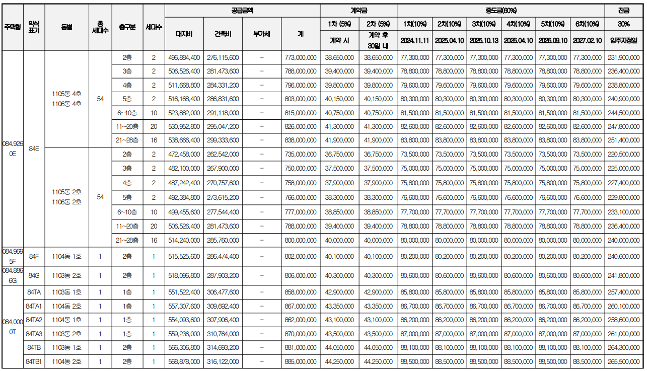
공급규모 및 분양가(1단지)
총 469세대
*발코니 무상 제공
- 84A타입(174세대) : 8.64억
- 84B타입(16세대) : 8.58억
- 84C타입(50세대) : 8.72억
- 84E타입(108세대) : 8.38억
- 84F타입(1세대) : 8.02억
- 84G타입(1세대) : 8.06억
- 84T타입(6세대) : 8.85억
- 101A타입(54세대) : 10.0억
- 101B타입(54세대) : 9.77억
- 139P타입(1세대) : 19.91억
- 147P타입(2세대) : 21.19억
- 208P타입(2세대) : 28.58억




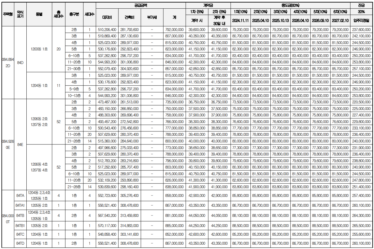
공급규모 및 분양가(2단지)
총 548세대
*발코니 무상 제공
- 84A타입(208세대) : 8.64억
- 84B타입(39세대) : 8.70억
- 84C타입(48세대) : 8.72억
- 84D타입(31세대) : 8.57억
- 84E타입(104세대) : 8.38억
- 84T타입(12세대) : 8.85억
- 101A타입(52세대) : 10.00억
- 101B타입(50세대) : 9.77억
- 139P타입(1세대) : 19.91억
- 147P타입(1세대) : 21.19억
- 208P타입(2세대) : 28.58억




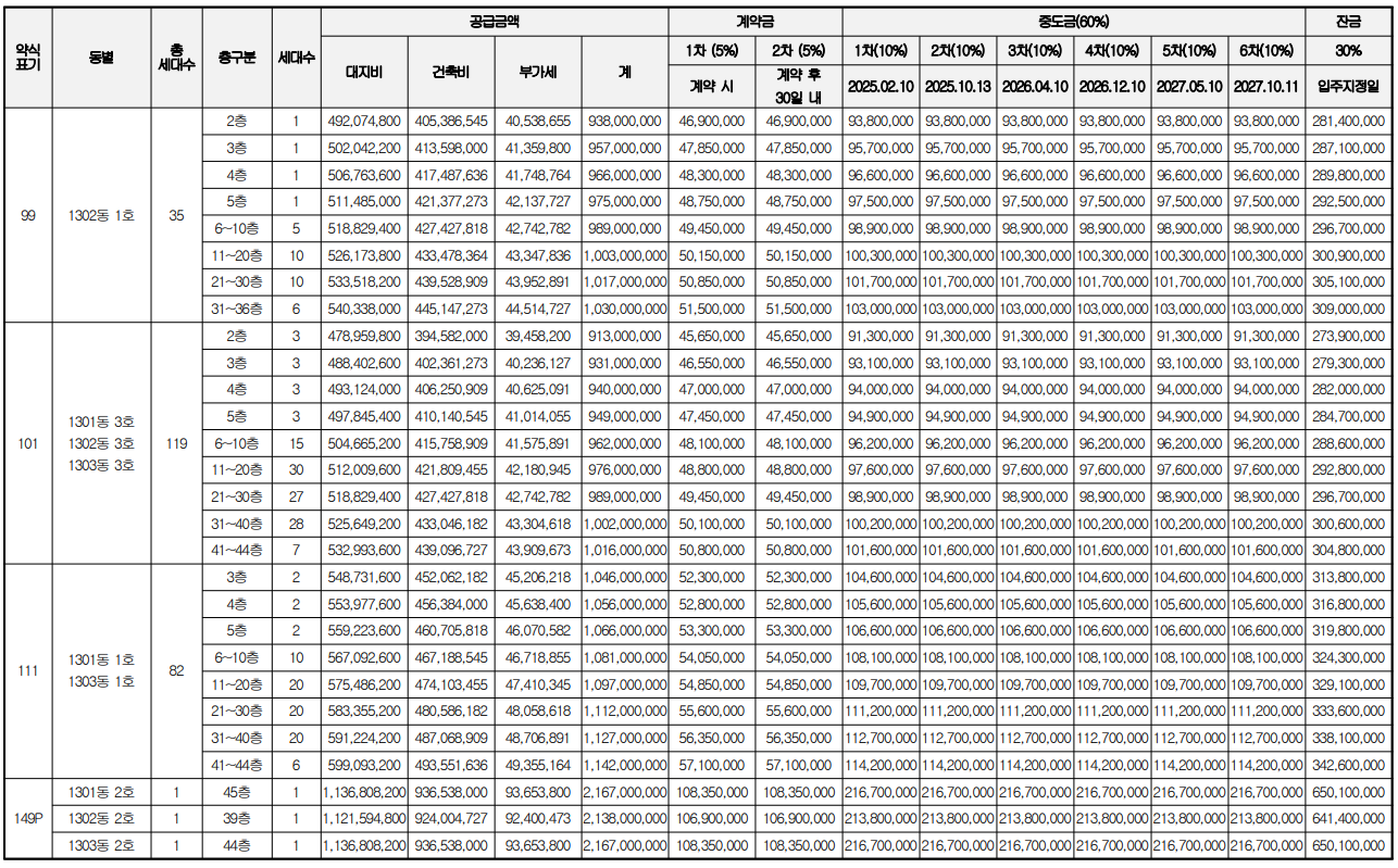
공급규모 및 분양가(3단지)
총 597세대
*발코니 무상 제공
- 84A타입(118세대) : 8.76억
- 84B타입(122세대) : 8.83억
- 84C타입(118세대) : 8.86억
- 99타입(35세대) : 10.30억
- 101타입(119세대) : 10.16억
- 111타입(82세대) : 11.42억
- 149타입(3세대) : 21.67억



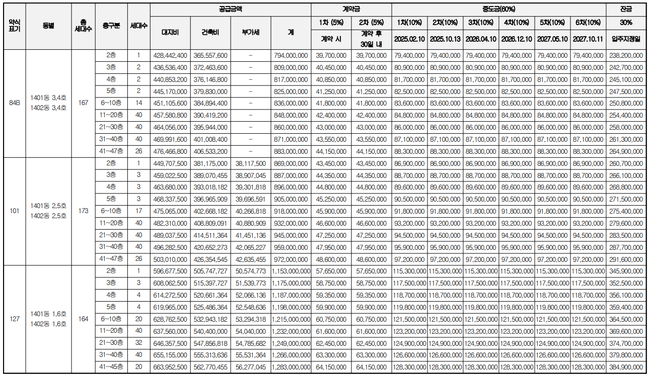
공급규모 및 분양가(4단지)
총 504세대
*발코니 무상 제공
- 84B타입(167세대) : 8.83억
- 101타입(173세대) : 9.72억
- 127타입(164세대) : 12.83억


공급규모 및 분양가(5단지)
총 610세대
- 84A타입(123세대) : 8.76억
- 84B타입(123세대) : 8.83억
- 84C타입(123세대) : 8.86억
- 101타입(120세대) : 10.16억
- 111타입(118세대) : 11.42억
- 149타입(3세대) : 21.67억



단지배치도 및 평면도(1,2단지)




















단지배치도 및 평면도(3,4,5단지)















입지환경









부리남 분석




1. 비교단지 호가 vs 분양가
- 송도캐슬해모로 84㎡ 호가 : 6.1억(16/32층)~
- 송도자이풍경채 그라노블 84㎡ 분양가 : 8.86억
- 송도캐슬해모로(2013년 9월 준공, 1439세대)를 비교 단지로 잡았습니다. 연세대캠퍼스에 둘러쌓인 단지이고, 중품아, 호수뷰가 가능한 단지입니다. 역과의 거리는 송도자이풍경채 그라노블처럼 멀리 떨어져 있습니다. 이를 감안한 비교가치는 7.71억으로 안전마진은 없습니다.
2. 규제사항 : 비규제지역, 분양가 상한제 미적용
3. 전매제한 : 6개월
4. 재당첨제한 : 투과/조정지역 1순위만 5년제한
5. 거주의무 : 없음
6. 중도금대출 : 60%, 이자후불제
7. 최종 의견
송도자이풍경채 그라노블은 11공구의 첫 단지라는 점에서 의미가 있습니다. 그리고, 11공구에는 주거용지가 많지 않다는 점에도 주목해야합니다. 이런 점에서 11공구는 상대적으로 저렴한 가격에, 브랜드 단지로써 희소성이 있을 것으로 보입니다. 또한, 위에서 언급했듯이 대학교와 대학병원, 삼성과 롯데 등 고수입자의 주거수요를 받을 수 있다는 점이 장점입니다. 단지 바로 맞은편 부지는 유승,대방이 더 높은 가격에 토지를 매입하여 더 비싸게 매입했기때문에 분양가 역시 그라노블보다 비쌀 수 밖에 없는데요. 이런 점은 전매제한이 풀렸을 때도 장점입니다. 준공기간도 길어, 전매기회도 많고요.
다만, 위에서 살펴보았듯이 단지별로 쪼개져있다는 점은 아쉽습니다. 하나의 단지로 규모있는 커뮤니티를 구성해야 대단지로써의 의미가 있는데, 단지별로 작은 커뮤니티가 구성되어있습니다. 그리고, 송도의 가장 외곽에 위치하여 지하철 접근성이 떨어집니다. 송도는 자차이동이 더 많다고 하지만, 향후 GTX-B가 연결되면, 또 다른 얘기입니다.
계약조건은 계약금 5%와 발코니확장 무상인데요. 아래 기사처럼 미분양나면 GS에서 100% 인수하기로 했다는 것이 눈에 띕니다. 대단한 자신감인데요. 주변시세 대비 분양가는 그 자신감이 과하지 않았나 싶습니다. 인천대입구역 더샵 퍼스트파크 84타입 매물이 10억부터 시작하고, 2024년 5월 준공을 앞둔 힐스테이트 송도 더 스카이는 P8000에 7.6억 매물이 보이네요. 오션뷰 단지로 살펴보면, 송도자이더크리스탈오션이 P1000, 7.34억입니다. 현재 시세를 감안하면, 분양가는 안전마진은 없습니다. 실거주하실 분들은 2024년에 준공되는 단지들이 많으니, 먼저 그 단지들을 살펴보시고요. 투자로 생각하실 분들은 기대수익을 조금 낮추고, 2026년이후에 매도 계획을 잡으면 좋겠습니다.
"송도 미분양 시 100% 인수"…GS건설 '조 단위' 우발부채 우려 (msn.com)
"송도 미분양 시 100% 인수"…GS건설 '조 단위' 우발부채 우려
아파트 건설을 위해 프로젝트 파이낸싱(PF)을 하는 과정에서 시공사가 미분양 물건을 100%사들이겠다는 조건을 내건 사례가 나왔다. PF 환경이 급격하게 나빠지면서 자금조달을 위해 무리한 조건
www.msn.com

송도자이풍경채 그라노블은 위에서 살펴보았듯이 당첨자 발표일이 이틀로 나눠져있습니다. 5개의 단지를 1,2단지와 3,4,5단지로 나누었습니다. 중복청약이 가능하고, 단지별 규모가 작고, 타입에 따라 1세대만 뽑기도 하기때문에 경쟁률은 실제 청약자보다 높게 나올 것으로 보입니다. 특히, 1주택이상이신 분들은 추첨제로 지원해도 배정물량이 없는 타입들이 있으니, 유의하시기 바랍니다.
송도자이풍경채 그라노블은 계약자에게는 추첨을 통해 벤츠 C class를 선물하는데요. 오랜만에 송도 공급인 동시에, 고분양가로 대단지를 푸는 만큼 시행사 입장에서도 부담이 되는 청약입니다. 일단, 관심은 끌고 있지만, 요새는 청약률보다 계약률이 중요합니다. 한번에 완판은 어려울 단지이고요. 실수요자라면, 입주를 앞두고 있는 다른 단지들을 먼저 검토하시기 바랍니다. 이상, 부동산 리뷰해주는 남자, 부리남이었습니다.
분양 홈페이지
자이
made in xi, 자이
xi.co.kr
단톡방 및 채널 안내
아래 단톡방은 별도 공지없이 매달 2일(3월 2일) 비밀번호 해제합니다.
오픈시간은 대체로 04-10시 사이입니다. 00시부터 대기하시지 않으셔도 됩니다.
함께 공부하는 단톡방 '부의 사다리'
부의 사다리 : https://open.kakao.com/o/gO3aTU6c
사다리
#이사 #안전이동 #고층가능 #안전포장
open.kakao.com
(오)늘의 (매)물 (기)록 : '오매기'
매일 단톡방 회원님들과 관심지역의 매물들을 공유하고 있는 방입니다. 매달 리포트 1건이 의무입니다. 열심히 하실 분들만 참석해주세요. 지난 하락장에서 부자들은 기회를 잡고 부의 사다리를 올랐습니다. 요새가 하락장이라면, 우리도 그래야합니다.
오매기 : https://open.kakao.com/o/gg4IrQAe
오매기
#쫀득쫀득 #당일취급 #제주도
open.kakao.com
주의사항
1. 투자의 책임 : 게시글은 모집공고와 분양홈페이지를 기반으로 한 개인의 의견이며, 투자의 책임은 투자자 본인에게 있음을 알려드립니다.
2. 지적재산권 및 사용권한 : 본 포스팅의 지적재산권은 부리남에게 있으며, 컨텐츠의 사용권한은 별도의 계약을 체결한 자에 한합니다.