12.30 선착순 줍줍! 왕길역 로얄파크씨티 푸르지오 분양가, 대출

안녕하세요, 부리남입니다.
오늘은 왕길역 로얄파크씨티 푸르지오 선착순동호지정계약(선착순 줍줍) 정보를 알아봅니다. 왕길역 로얄파크시티 푸르지오는 인천광역시 서구 왕길동 133-3에 위치합니다. 왕길역 로얄파크시티 푸르지오는 최고 29층 15개동 총 1500세대 규모입니다. 이중 잔여세대를 선착순동호지정계약을 공급합니다.
왕길역 로얄파크씨티 푸르지오는 검암역 로얄파크씨티 푸르지오, 일명 이병헌 아파트, 검로푸의 후속 분양단지입니다. 총 21,313세대 리조트형 아파트를 공급할 예정인데요. 이중 검로푸가 한들구역에 속해 4,805세대를 분양했습니다. 그리고, 왕길역 로얄파크시티 푸르지오는 검단 5구역에 속하는데요. 3,963세대 중 1500세대를 분양했습니다. 이번이 후분양이고 다음은 모두 선분양으로 공급할 예정이라는데요. 특징은 검로푸는 검암역까지 셔틀이 운행되었다면, 왕로푸는 인천2호선 왕길역을 도보로 이용할 수 있는 역세권이라는 점입니다. 반면, 초중고등학교가 신설예정이라지만, 단지주변으로 학교는 부족해보이네요.
요트까지 띄우고 청약당일에 플래카드를 올려 홍보에 열성이었지만, 부담스러운 분양가에 계약일이 12월 28일인데, 벌써 선착순 줍줍공고가 나와버렸네요. 그럼, 다시 살펴보겠습니다.


입주자 모집공고
(오른쪽 화살표를 눌러야 볼 수 있습니다)
청약자격
▶ 청약통장 사용 X
▶ 세대주, 세대원 모두 계약가능
▶ 유주택자도 계약가능
▶ 전입의무 / 실거주의무 無
▶ 중도금 대출 2건 가능(개인별 상이)
▶ 취득세 1.1% (2주택자 까지 해당)
청약일정
- 최초 모집공고 : 11월 24일
- 선착순 접수 : 12월 30일 13:30까지
- 동호지정계약 : 12월 30일 14시(13:30부터 입장)
- 입주예정일 : 2024년 9월
청약방법
1. 아래 홈페이지 접수
- 접수기간 : -12월 30일 13:30까지
- 접수경로 : 아래 홈페이지
왕길역 로열파크씨티
royalparkcity-season2-1st.co.kr
2. 모델하우스 방문(12월 30일 13:30까지)
▶ 장소(견본주택) : 인천 서구 왕길동 315번지
▶ 대표번호 : 1833-3558
▶ 진행방식
- 모델하우스 입장 : 12월 30일 13:30까지 입장
- 방식 : 선착순 순번대로 선착순동호지정계약
(인터넷으로 뽑은 순번이 중요합니다. 줄 안서도 되서 좋네요)
▶ 특이사항
1) 동호지정계약금 : 1천만원
2) 1월 4일 계약잔금+옵션계약금(200만원 정액제?)

▶ 구비서류
* 종종 아래 서류 없다고 포기하시는데요.
* 신분증+계약금만 있으면 됩니다(추후 서류제출가능)
1) 신분증
2) 주민등록표등본 1부
3) 인감증명서(또는 본인서명사실확인서) 1부
4) 인감도장(또는 서명)
5) 대리인 추첨 및 계약 시(추가) : 위임장(견본주택 내 비치), 인감증명서(위임용) 1부, 대리인 신분증 및 도장
※ 모든 구비 서류는 1개월 이내 발급분에 한합니다.
※ 본인 외(배우자 포함) 모두 제3자로 간주합니다.
▶ 수입인지 : 15만원
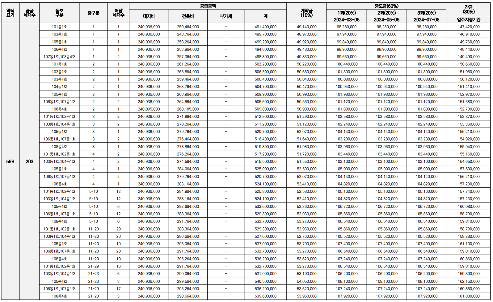
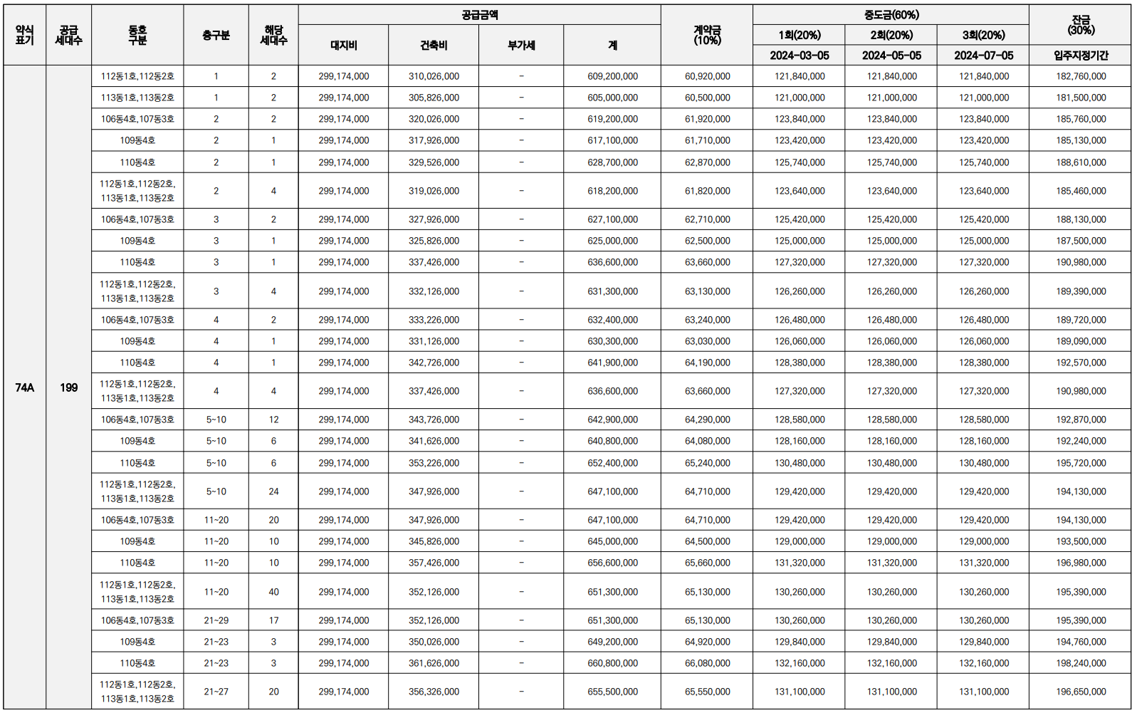
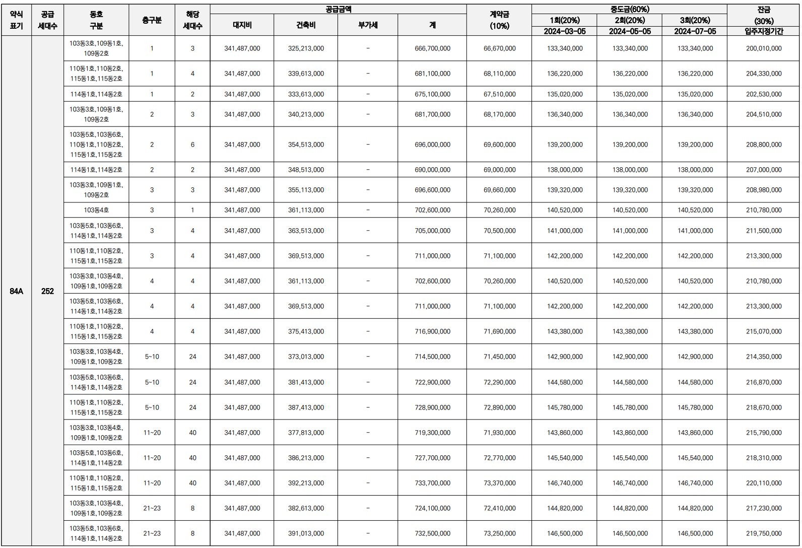
공급규모 및 분양가
총 1500세대 일반분양
* 잔여세대 비공개
- 59A㎡(160세대) : 5.33억
- 59B㎡(203세대) : 5.40억
- 74A㎡(199세대) : 6.60억
- 74B㎡(248세대) : 6.67억
- 84A㎡(252세대) : 7.33억
- 84B㎡(254세대) : 7.35억
- 84C㎡(114세대) : 7.37억
- 99㎡(70세대) : 8.78억









단지배치도 및 평면도













커뮤니티
1. 30m 인도어 골프연습장


2. GX 룸

3. 스카이라운지

4. 조경(스카이워크)


5. 조경



6. 썬셋요트투어



입지환경








출처 : 교통 불모지는 옛말…검암, 운서, 청라 공항철도-9호선 직결 수혜지되나 - 땅집고 > 정책·일반 (chosun.com)
교통 불모지는 옛말…검암, 운서, 청라 공항철도-9호선 직결 수혜지되나
[유망 신역세권 어디] 공항철도·9호선 직결 노선 [땅집고] 지난 17일 서울시와 인천이 공항철도와 지하철 9호선을 직결하는 내용을 합의하면서 ..
realty.chosun.com
부리남 분석
1. 비교단지 호가 vs 분양가
- 검암역 로얄파크씨티 푸르지오 2단지 84㎡ 호가 : 5.50억~(저층/39층)
- 왕길역 로얄파크씨티 푸르지오 84㎡ 분양가 : 7.37억
- 검암역 로얄파크씨티 푸르지오 2단지 (2023년 6월 준공, 2426세대)를 비교단지로 잡았습니다. 검로푸는 초중고등학교를 모두 품고있지만, 왕로푸는 역세권입니다. 이를 감안한 비교가치는 5.89억으로 안전마진은 없습니다.
2. 규제사항 : 비규제지역, 분양가상한제 미적용
3. 전매제한 : 6개월
4. 재당첨제한 : 없음
5. 거주의무 : 없음
6. 중도금대출 : 60%, 무이자대출
7. 최초 경쟁률

8. 최종의견
왕길역 로얄파크씨티 푸르지오는 안전마진이 없습니다. 그래서, 이같은 경쟁률은 당연합니다. 시행사에도 이를 예상했고, 홍보에 적극적이었음에도 속수무책이네요. 이미 대부분의 옵션을 제공했고, 중도금대출도 무이자라서 더이상 혜택을 주기 어렵습니다. 최근 고촌센트럴자이처럼 입주기간을 5개월까지 늘려준다고 해도 준공은 2024년 9월로 길지 않습니다. 완판되는 데도 시간이 걸릴텐데, 분양권 전매를 노리고 들어올 투자자를 기대하기는 어렵습니다.
후분양이라서 자금계획 잘 세우셔야하는데요. 비규제지역으로 잔금대출시 LTV 70%를 받는다면, 필요현금은 2.21억+@(발코니, 옵션, 세금)입니다. 발코니 확장비는 2430만원에 달합니다. 하지만, 위에서 언급한 것처럼 33가지의 옵션을 기본으로 제공합니다. 에어컨과 빌트인 냉장고도 기본제공입니다. 이런 점을 감안하면, 확장비는 이해할 만합니다.
분양가 7.37억. 다시 보아도 아쉬운 분양가입니다. 후분양이 아니라 선분양이었다면, 나중에는 인정받을 수 있었겠지만, 지금은 아닙니다. 실거주자, 투자자 모두에게 추천드리지 않고요. 모쪼록 준공까지는 잘 진행되어 수분양자분들에게 피해가 없었으면 좋겠습니다. 마지막으로 선착순 줍줍과 함께 보내온 뉴스링크를 달아봅니다. 대한민국 첫번째 리조트신도시가 이제는 '에코메타시티'라는 이름을 얻었네요. 7호선 계획변경이 예정이라는데요. 글쌔요. 이 기사 하나로 계약하실 분들은 많지 않아보입니다. 이상, 부동산 리뷰해주는 남자, 부리남이었습니다.
‘에코메타시티 개발 계획’ 윤곽 드러내 ... 서북부 개발 본격화 (naver.com)
‘에코메타시티 개발 계획’ 윤곽 드러내 ... 서북부 개발 본격화
- 서울 지하철 7호선, 철도기본계획 변경 중인 것으로 확인돼 - 검단 2교차로 일대, 중심거점생활권으로 개발하고 신설역 조성 예정 인천시 서북부 왕길동 일대를 중심으로 한 에코메타시티 개발
n.news.naver.com


분양 홈페이지
왕길역 로열파크씨티
royalparkcity-season2-1st.co.kr
단톡방 및 채널 안내
아래 단톡방은 별도 공지없이 매달 2일(12월 2일) 비밀번호 해제합니다.
오픈시간은 대체로 04-10시 사이입니다. 00시부터 대기하시지 않으셔도 됩니다.
함께 공부하는 단톡방 '부의 사다리'
부의 사다리 : https://open.kakao.com/o/gO3aTU6c
사다리
#이사 #안전이동 #고층가능 #안전포장
open.kakao.com
(오)늘의 (매)물 (기)록 : '오매기'
매일 단톡방 회원님들과 관심지역의 매물들을 공유하고 있는 방입니다. 매달 리포트 1건이 의무입니다. 열심히 하실 분들만 참석해주세요. 지난 하락장에서 부자들은 기회를 잡고 부의 사다리를 올랐습니다. 요새가 하락장이라면, 우리도 그래야합니다.
오매기 : https://open.kakao.com/o/gg4IrQAe
오매기
#쫀득쫀득 #당일취급 #제주도
open.kakao.com
주의사항
1. 게시자 : 부리남은 청약강사나 청약전문가가 아니며, 강의나 출판에 관심이 없습니다. 댓글을 통한 출판사나 학원의 강의요청은 정중히 거절합니다. 모집공고와 분양홈페이지를 기반으로 포스팅을 합니다. 자주 틀립니다. 틀린 부분을 알려주시면, 수정합니다.
2. 투자 : 부리남 개인적인 의견이니 투자의 책임은 투자자 본인에게 있음을 알려드립니다.
3. 저작권 : 본 포스팅을 무단복제한 경우, 사전 안내없이 네이버/다음에 신고합니다. 계정정지나 삭제의 불이익이 없도록 무단복제는 주의 부탁드립니다.
