11.23 선착순줍줍! 중흥S-클래스 힐더포레 분양가, 평면도, 대출

안녕하세요, 부리남입니다.
오늘은 중흥S-클래스 힐더포레 선착순동호지정계약(선착순 줍줍)정보를 알아봅니다. 중흥S-클래스 힐더포레는 경기도 구리시 교문동 339번지 일원에 위치합니다. 중흥S-클래스 힐더포레는 최고 15층 22개동 총 1096세대 규모입니다. 딸기원2지구 주택재개발사업으로 이중 637세대를 일반분양했습니다.
1단지(15층, 16개동, 798세대)는 406세대를 일반분양하고, 2단지(15층, 6개동, 298세대)는 231세대를 일반분양했습니다. 그리고, 지난 10월 211세대를 무순위청약(사후접수)으로 공급하고, 잔여세대를 선착순동호지정계약(선착순 줍줍)으로 공급합니다.
중흥S-클래스 힐더포레는 2023년 구리역 롯데캐슬 시그니처 이후로 구리에 2년만에 분양했던 단지입니다. 8호선 구리역이 2023년 9월에 개통되었으니, 그 사이 구리의 입지는 많이 달라졌습니다. 그만큼, 중흥S-클래스 힐더포레도 높은 분양가가 책정되었는데요. 그만한 가치가 있는 곳인 지 살펴보도록 하겠습니다.

입주자 모집공고
(오른쪽 화살표를 눌러야 볼 수 있습니다)
청약자격
▶ 청약통장 사용 X
▶ 세대주, 세대원 모두 계약가능
▶ 무주택자/1주택자(처분조건부) 계약가능(6.27 규제 적용)
▶ 준공후 6개월 내 전입(처분)(6.27 규제 적용)
청약일정
- 최초 모집공고 : 2025년 9월 19일 (6.27 규제 적용)
- 선착순동호지정계약 : 2025년 11월 23일 12시 30분
- 입주예정일 : 2029년 2월
청약방법
▶견본주택 방문하여 접수
- 주소 : 경기도 구리시 교문동 259-10
- 문의 : 1600-0999
▶ 특이사항
- 계약금 10%
- 1차 계약금 1000만원
▶ 공통 구비서류
(보통 안내는 이렇게 하지만, 실제로는 신분증과 계약금만 챙겨가시면 됩니다)
(추후 방문 제출 가능)
1) 신분증
2) 주민등록표등본 1부
3) 인감증명서(또는 본인서명사실확인서) 1부

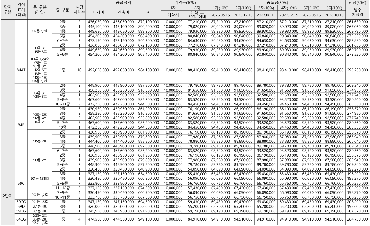
공급규모 및 분양가
* 잔여세대 비공개
* 참고(2025년 10월, 사후접수) : 총 1096세대 중 211세대 잔여공급
- 59A㎡(14세대) : 6.99억
- 59B㎡(8세대) : 6.96억
- 59C㎡(19세대) : 6.74억
- 59D㎡(1세대) : 6.71억
- 59G㎡(2세대) : 6.94억
- 59G㎡(1세대) :6.91억
- 59T㎡(2세대) : 7.19억
- 59T㎡(2세대) : 7.17억
- 84A㎡(112세대) : 9.55억
- 84B㎡(36세대) : 9.44억
- 84G㎡(4세대) : 9.49억
- 84T㎡(10세대) : 9.81억




* 참고(2025년 9월, 최초분양) : 총 1096세대 중 637세대 일반분양
- 59A㎡(150세대) : 6.99억
- 59B㎡(40세대) : 6.96억
- 59C㎡(57세대) : 6.74억
- 59D㎡(9세대) : 6.71억
- 59G㎡(2세대) : 6.94억
- 59G㎡(1세대) :6.91억
- 59T㎡(7세대) : 7.19억
- 59T㎡(4세대) : 7.17억
- 84A㎡(141세대) : 9.55억
- 84B㎡(48세대) : 9.44억
- 84C㎡(98세대) : 9.21억
- 84D㎡(57세대) : 9.10억
- 84G㎡(4세대) : 9.49억
- 84G㎡(3세대) : 9.47억
- 84T㎡(11세대) : 9.81억
- 84T㎡(5세대) : 9.72억
단지배치도 및 평면도







입지환경












부리남 분석
1. 비교단지 호가 vs 분양가
- 인창칸타빌더헤리티지 84㎡ 호가 : 8.4억(5/19층)
- 중흥S-클래스 힐더포레 84㎡ 분양가 : 9.55억(14/15층)
- 인창칸타빌더헤리티지(2023년 3월 준공, 375세대)를 비교단지로 잡았습니다. 역세권이 아닌 신축단지이지만, 초품아입니다. 세대수는 적지만, 아파트 단지 사이에 위치하여 주거여건은 중흥 힐더포레보다 더 좋습니다. 이를 감안한 비교가치는 9.08억으로 안전마진은 없습니다.
2. 규제사항 : 비규제지역, 분양가상한제 미적용
3. 전매제한 : 1년
4. 재당첨제한 : 없음
5. 거주의무 : 없음
6. 중도금대출 : 60%, 이자후불제
7. 최초 경쟁률

7. 최종의견
중흥S-클래스 힐더포레의 청약성적은 좋지 못했습니다. 하지만, 10.15 규제 이후 풍선효과는 동구남(동탄-구리-남양주)으로 대표되고 있습니다. 규제지역과 가장 가까운 입지지만, LTV 70% 대출이 가능한 것은 큽니다.
다만, 중흥S-클래스 힐더포레는 안전마진이 없습니다. 최초 리뷰 때 입주권 시세를 확인했는데요. 59타입 입주권은 5.71억이고, 분양가는 6.99억입니다. 입주권 대비 분양가는 22% 비쌉니다.

입주권이 분양권도 싼건 당연하지만, 10%이상 차이가 나면, 고민해야 합니다. 특히, 분양성적이 좋지 못한 단지는 입주권이 분양권의 시세를 누릅니다. 전매를 위해서 투자할 곳은 아닙니다.
실수요자에게도 서울의 경계에 위치한다는 것 외에는 상권, 교통, 학군 모두 부족합니다. 특히, 초등학교가 멀어서 통학차량을 이용해야 합니다.

마지막으로 중흥S-클래스 힐더포레의 상품성입니다. 일단, 고도제한 때문에 최고층수는 15층입니다. 단지도 1,2단지로 나뉩니다. 커뮤니티는 대단지의 커뮤니티가 맞나 싶을 정도로 부족합니다. 평면은 선호도 높은 4BAY가 아니라는 점에서는 아쉽지만, 무난합니다.
구리 거주자분들의 관심은 수택E구역, 수택2구역에 있습니다. 분양가 12억설도 돌고 있는데요. 그전에 구리 역세권 신축 단지들에 먼저 관심을 가져보는 것은 어떨까요? 이상, 부동산 리뷰해주는 남자, 부리남이었습니다.



* 최초 분양당시 호가(아래)



분양 홈페이지
중흥 S-클래스 힐더포레
서울과 구리, 경계를 허물다
hf-sclass.com
단톡방 및 채널 안내
함께 공부하는 단톡방 '부의 사다리'(매달 2일 비번해제)
부의 사다리 : https://open.kakao.com/o/gO3aTU6c
사다리
#이사 #안전이동 #고층가능 #안전포장
open.kakao.com
(오)늘의 (매)물 (기)록 : '오매기'(운영중)
매일 단톡방 회원님들과 관심지역의 매물들을 공유하고 있는 방입니다. 매달 리포트 1건이 의무입니다. 열심히 하실 분들만 참석해주세요. 지난 하락장에서 부자들은 기회를 잡고 부의 사다리를 올랐습니다. 요새가 하락장이라면, 우리도 그래야합니다.
오매기 : https://open.kakao.com/o/gg4IrQAe
오매기
#쫀득쫀득 #당일취급 #제주도
open.kakao.com
붇옹산의 부동산스터디
대한민국 최고+최대의 부동산 카페의 방장님이신 붇옹산님의 네이버 프리미엄 콘텐츠에서도 제 글을 광고없이 만나실 수 있습니다. 붇옹산님이 직접 작성하시는 글을 볼 수 있는 기회는 흔치 않습니다. 부리남은 몰라도 삼토시님은 아시죠? 붇옹산, 삼토시, 그리고 부리남이 함께 하는 네이버 프리미엄 콘텐츠도 많은 관심 부탁드립니다.
붇옹산의 부동산스터디 : 네이버 프리미엄콘텐츠
200만 부동산스터디 카페 운영자 붇옹산의 부동산 투자로 돈 버는 공부.
contents.premium.naver.com
주의사항
1. 투자의 책임 : 게시글은 모집공고와 분양홈페이지를 기반으로 한 개인의 의견이며, 투자의 책임은 투자자 본인에게 있음을 알려드립니다.
2. 지적재산권 및 사용권한 : 본 포스팅의 지적재산권은 부리남에게 있으며, 컨텐츠의 사용권한은 별도의 계약을 체결한 자에 한합니다.