9.30 청약! 숭의역 라온 프라이빗 스카이브 분양가, 평면도, 대출

안녕하세요, 부리남입니다.
오늘은 숭의역 라온 프라이빗 스카이브 청약 정보를 살펴보겠습니다. 숭의역 라온 프라이빗 스카이브는 인천광역시 중구 신흥동3가 7-79번지 일원에 위치합니다. 숭의역 라온 프라이빗 스카이브는 최고 40층, 4개동, 총 440세대 규모입니다. 인천 신흥동3가 지역주택조합사업으로 이중 170세대를 일반분양합니다.
숭의역 라온 프라이빗 스카이브는 몇번을 눈을 비비고 다시 봤던 단지입니다. 분명히 다루었던 입지입니다. 이미 준공이 되었을 단지이고요. 그런데, 같은 자리에 버젓이 다른 이름으로 분양을 합니다.
그래서, 찾게 된 단지의 이름은 숭의역 엘크루입니다. 인천 신흥동 3가 지역주택조합에서 공급하는 단지로 오피스텔 168세대도 함께 공급했던 곳입니다. 2022년부터 무순위청약으로 공급되었고, 2025년 4월 준공예정이었습니다.
시간이 흘러 다시 분양하는데요. 이름이 바뀌니, 호갱노노에서는 과거의 '이야기'는 지워졌고, 일부 흔적만 남아있습니다. 어떤 곳인 지 알아보겠습니다.

입주자 모집공고
(오른쪽 화살표를 눌러야 볼 수 있습니다)
청약자격
- 인천광역시에 거주하거나 수도권(서울특별시, 경기도) 지역에 거주하는 만19세 이상인 자
- 인천광역시 거주자 우선공급
- 전용면적 85㎡ 이하 : 가점제 (40%) 및 추첨제 (60%) 적용
청약일정
- 모집공고 : 9월 19일
- 청약접수 : 9월 30일
- 당첨자 발표 : 10월 14일
- 계약일 : 10월 27일-29일
- 입주예정일 : 2027년 9월 예정
청약방법
https://www.applyhome.co.kr/ai/aia/selectAPTLttotPblancListView.do
www.applyhome.co.kr
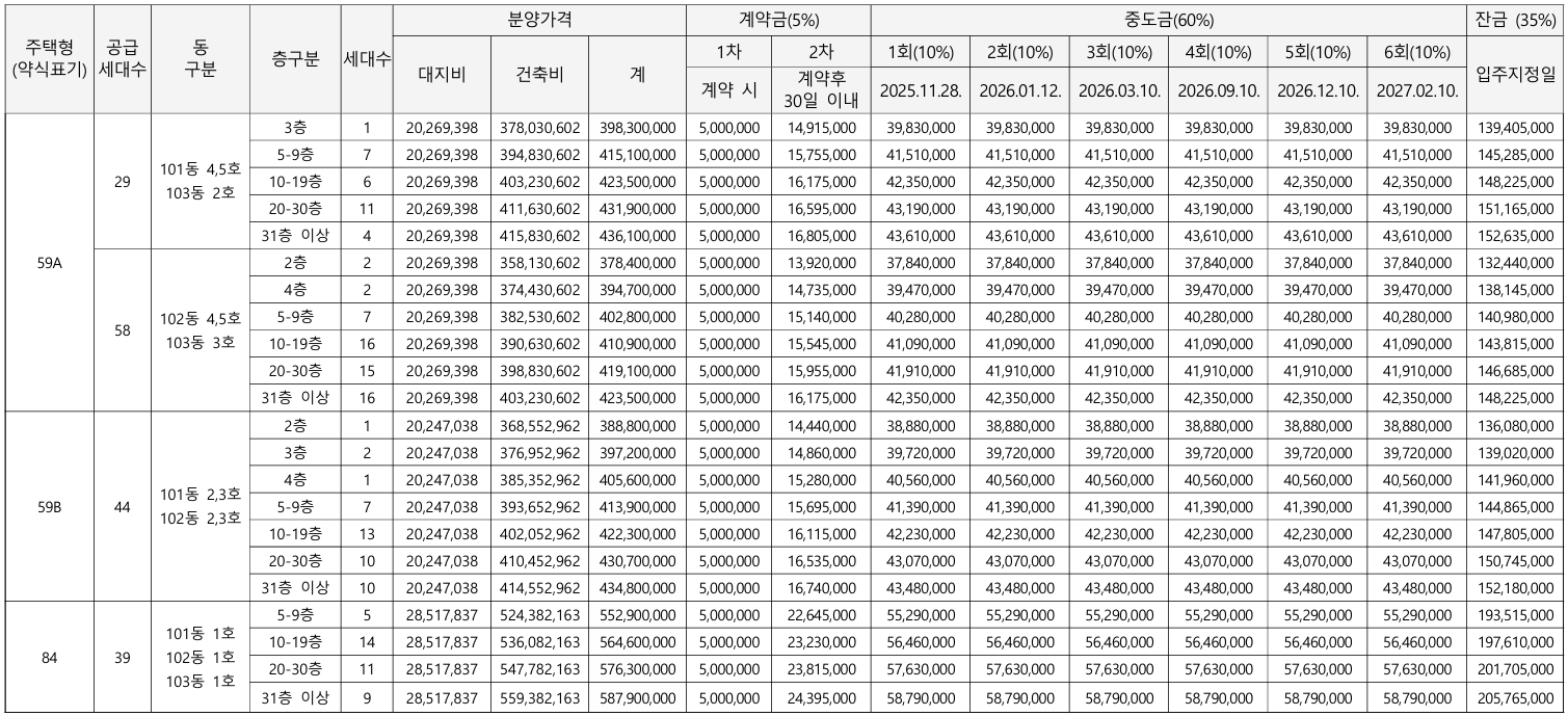
공급규모 및 분양가
* 총 440세대 중 170세대 일반분양
* 계약금 5%
* 발코니확장무상
- 59A타입(87세대) : 4.36억
- 59B타입(44세대) : 4.34억
- 84타입(39세대) : 5.87억


단지배치도 및 평면도






입지환경




부리남 분석
1. 비교단지 호가 vs 분양가
- 힐스테이트숭의역(주상복합) 74㎡ 호가 : 4.85억(고층)
- 84㎡ 환산시 : 5.5억
- 숭의역 라온 프라이빗 스카이브 84㎡ 분양가 : 5.87억(31층이상)
- 힐스테이트숭의역(주상복합)(2025년 1월 준공, 784세대)를 비교단지로 잡았습니다. 숭의역 대장단지로 상품성, 입지 모두 우위에 있습니다. 이를 감안한 비교가치는 4.85억으로 안전마진은 없습니다.
2. 규제사항 : 비규제지역, 분양가상한제 미적용
3. 전매제한(당첨자발표일 기준) : 1년
4. 재당첨제한(당첨자발표일 기준) : 투과/조정지역 1순위만 5년 제한
5. 거주의무(입주시점 기준) : 없음
6. 중도금대출 : 60%, 무이자대출
7. 최종의견
숭의역 라온 프라이빗 스카이브는 안전마진이 없습니다. 최초 분양가 대비 59타입과 84타입 모두 6천만원이 올랐습니다. 주변시세를 감안하면, 과거 분양가로도 완판은 어려워보입니다.


숭의역 라온 프라이빗 스카이브는 앞서 언급드린 것처럼 숭의역 엘크루에서 중단된 사업이 다시 재개되었습니다. PF사태로 2023년 5월 공사가 중단되고, 2023년 두산건설로 도급계약이 체결되었다가 해제된 끝에 라온건설이 2024년 10월 도급계약체결후 2024년 12월부터 공사를 재개하였습니다.
1년반동안 공사 멈춰있던 이곳 '숭의역 라온프라이빗'으로 새출발 - 파이낸셜뉴스
1년반동안 공사 멈춰있던 이곳 '숭의역 라온프라이빗'으로 새출발
라온건설 작년 10월 인천 신흥동3가 주상복합 신축' 시공사 선정 숭의역 라온프라이빗 투시도. 라온건설 제공 [파이낸셜뉴스] 라온건설은 1년 반동안 공사가 전면 중단됐던 '인천 신흥동3가 지역
www.fnnews.com
최근 분양했던 숭의역 힐스테이트에는 56개의 통장만 들어왔습니다. 59타입 5.08억, 74타입 6.03억이었습니다. 숭의역 힐스테이트 대비 분양가는 저렴하지만, 상품성이나 브랜드에서 차이가 큽니다.
인천은 송도, 청라, 검단, 루원 등 신도시가 많습니다. 6.27 규제로 투자자가 접근하지 못하는 시장에서 수요는 한정적입니다. 어렵게 분양까지 왔지만, 2027년 9월까지 완판은 어려워보입니다. 오늘도 부리남이었습니다.
분양홈페이지
숭의역 라온프라이빗 스카이브
인천의 내일을 갖는 프라이빗 특권, 다 갖춘 숭의역 초역세권에서 더 빛날 새인천 미래가치까지
su-raon.com
단톡방 및 채널 안내
함께 공부하는 단톡방 '부의 사다리'(매달 2일 비번해제)
부의 사다리 : https://open.kakao.com/o/gO3aTU6c
사다리
#이사 #안전이동 #고층가능 #안전포장
open.kakao.com
(오)늘의 (매)물 (기)록 : '오매기'(운영중)
매일 단톡방 회원님들과 관심지역의 매물들을 공유하고 있는 방입니다. 매달 리포트 1건이 의무입니다. 열심히 하실 분들만 참석해주세요. 지난 하락장에서 부자들은 기회를 잡고 부의 사다리를 올랐습니다. 요새가 하락장이라면, 우리도 그래야합니다.
오매기 : https://open.kakao.com/o/gg4IrQAe
오매기
#쫀득쫀득 #당일취급 #제주도
open.kakao.com
붇옹산의 부동산스터디
대한민국 최고+최대의 부동산 카페의 방장님이신 붇옹산님의 네이버 프리미엄 콘텐츠에서도 제 글을 광고없이 만나실 수 있습니다. 붇옹산님이 직접 작성하시는 글을 볼 수 있는 기회는 흔치 않습니다. 부리남은 몰라도 삼토시님은 아시죠? 붇옹산, 삼토시, 그리고 부리남이 함께 하는 네이버 프리미엄 콘텐츠도 많은 관심 부탁드립니다.
붇옹산의 부동산스터디 : 네이버 프리미엄콘텐츠
200만 부동산스터디 카페 운영자 붇옹산의 부동산 투자로 돈 버는 공부.
contents.premium.naver.com
주의사항
1. 투자의 책임 : 게시글은 모집공고와 분양홈페이지를 기반으로 한 개인의 의견이며, 투자의 책임은 투자자 본인에게 있음을 알려드립니다.
2. 지적재산권 및 사용권한 : 본 포스팅의 지적재산권은 부리남에게 있으며, 컨텐츠의 사용권한은 별도의 계약을 체결한 자에 한합니다.