상시 줍줍! 계양 롯데캐슬 파크시티 2단지 분양가, 평면도, 대출

안녕하세요, 부리남입니다.
오늘은 계양 롯데캐슬 파크시티 2단지 선착순동호지정계약(상시줍줍) 정보를 알아봅니다. 계양 롯데캐슬 파크시티 2단지는 인천광역시 계양구 효성동 123-30번지 일원에 위치합니다. 계양 롯데캐슬 파크시티 2단지는 최고 25층 10개동 총 1370세대입니다. 이중 잔여세대를 선착순동호지정계약(상시줍줍)으로 공급합니다.
계양 롯데캐슬 파크시티는 1,2단지로 나눠서 분양하는데요. 2단지가 먼저 나왔습니다. 1,2단지는 남북으로 나뉘는데요. 2단지가 남측에 위치해서 초등학교와 기존 인프라를 이용하기 수월합니다. 통상 먼저 분양하는 단지가 분양가도 더 저렴하기 때문에 2단지를 주목하시면 좋을 것 같은데요. 2단지는 84타입으로만 1370세대를 공급하고, 추후 분양할 1단지는 59타입에서 108타입까지 다양한 평면으로 1964세대를 분양할 예정입니다. 총 3053세대가 예정된 만큼 롯데캐슬에서 신경을 많이 썻었는데요. 결과는 좋지 못했습니다. 이후 호재 1건이 있었고, 진행중인 이벤트도 있어서 업데이트해봅니다.
입주자 모집공고
(오른쪽 화살표를 눌러야 볼 수 있습니다)
청약자격
▶ 청약통장 사용 X
▶ 세대주, 세대원 모두 계약가능
▶ 유주택자도 계약가능
▶ 전입의무 / 실거주의무 無
▶ 중도금 대출 2건 가능(개인별 상이)
청약일정
- 최초 모집공고 : 4월 19일
- 선착순동호지정계약 : 상시
- 입주예정일 : 2027년 11월
청약방법
▶ 견본주택 방문
- 주소 : 인천광역시 계양구 효성동 131-44번지 일원
- 문의 : 1670-3053
▶ 특이사항
1차 동호지정계약금 : 1000만원
▶ 공통 구비서류
(보통 안내는 이렇게 하지만, 실제로는 신분증과 계약금만 챙겨가시면 됩니다)
(추후 방문 제출 가능)
1) 신분증
2) 주민등록표등본 1부
3) 인감증명서(또는 본인서명사실확인서) 1부
4) 인감도장(또는 서명)
5) 대리인 추첨 및 계약 시(추가) : 위임장(견본주택 내 비치), 인감증명서(위임용) 1부, 대리인 신분증 및 도장
※ 모든 구비 서류는 1개월 이내 발급분에 한합니다.
※ 본인 외(배우자 포함) 모두 제3자로 간주합니다.
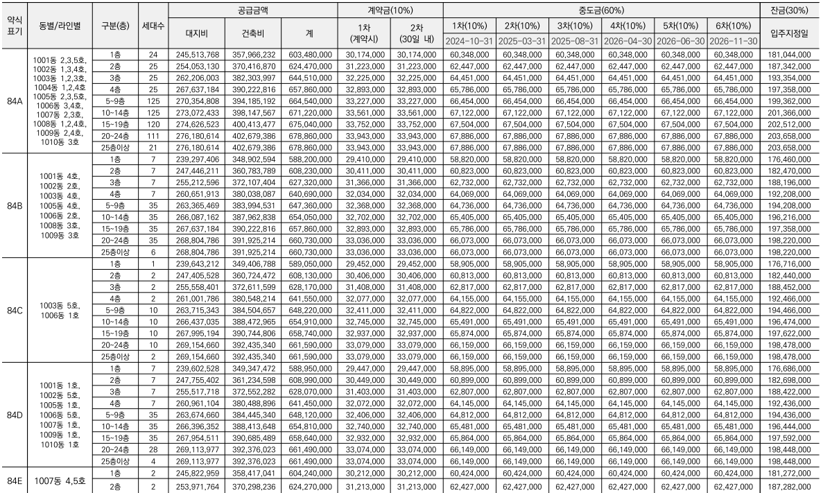
공급규모 및 분양가
총 1370세대
* 잔여세대 비공개
- 84A㎡(601세대) : 6.76억
- 84B㎡(174세대) : 6.60억
- 84C㎡(49세대) : 6.61억
- 84D㎡(165세대) : 6.61억
- 84E㎡(50세대) : 6.78억
- 84F㎡(50세대) : 6.59억




단지배치도 및 평면도









입지환경






부리남 분석
1. 비교단지 호가 vs 분양가
- e편한세상계양더프리미어 84㎡ 호가 : 6.2억(2/33층)
- 계양 롯데캐슬 파크시티 2단지 84㎡ 분양가 : 6.78억(25층)
- e편한세상계양더프리미어(2021년 10월 준공, 1646세대)를 비교단지로 잡았습니다. e편한세상계양더프리미어는 계양롯데캐슬 파크시티보다 세대수는 적지만, 작전역에서 더 가깝고, 초중고등학교, 상권을 이용하기 편합니다. 이를 감안한 비교가치는 6.55억으로 안전마진은 없습니다.
2. 규제사항 : 비규제지역, 분양가상한제 미적용
3. 전매제한 : 1년
4. 재당첨제한 : 없음
5. 거주의무 : 없음
6. 중도금대출 : 60%, 이자후불제
7. 최초 경쟁률

8. 최종의견
계양 롯데캐슬 파크시티 2단지는 GTX-D나 2호선 호재와 거리가 멉니다. 특히, 2호선은 GTX-D보다도 먼 얘기입니다. 현재까지는 가정역과 작전역이 대상이지, 추가역은 이후니까요. 최초 리뷰 때, 전해드렸던 기사내용을 업데이트했는데요. 지난 5월 29일 서울5호선 검단,김포 연장 / 인천2호선 고양 연장 / 제2경인선을 포함하여 서울2호선 청라연장을 제5차 국가철도망계획(2026-2035)에 반영해달라고 건의했다고 합니다.
서울2호선 청라연장 5차 국가철도망 건의 임박 경제성 관건 < 경제 < 뉴스 < 기사본문 - 인천투데이 (incheontoday.com)
서울2호선 청라연장 5차 국가철도망 건의 임박 경제성 관건 - 인천투데이
인천투데이=박규호 기자 | 인천시가 이번 주 국토부에 서울도시철도2호선 청라 연장선을 제5차 국가철도망구축계획에 반영해달라고 건의할 계획이다. 경제적 타당성 확보가 가장 큰 과제로 제
www.incheontoday.com
[철도투데이] 대장홍대선 기재부 민투심 통과··· 서울2호선 청라 연장 ‘청신호’ < 인천TV < 인천TV < 기사본문 - 인천투데이 (incheontoday.com)
[철도투데이] 대장홍대선 기재부 민투심 통과··· 서울2호선 청라 연장 ‘청신호’ - 인천투데이
인천투데이 = 이상훈 PD | [앵커 - 인천투데이 인투아이(INTO-AI) 기자]기획재정부가 서울2호선 청라 연장선의 전제사업인 대장홍대선 민간투자사업성 심의를 가결했습니다. 서울2호선 청라 연장 사
www.incheontoday.com
무엇보다도 선결조건이었던 대장홍대선이 민투심을 통과하면서 가시화되고 있습니다. 하지만, 착공이 아니라 계획이 2025년 7월 예정입니다.
계양 롯데캐슬 파크시티 2단지의 장점은 상품성과 공원입니다. 커뮤니티는 게스트하우스와 스트리밍 시네마룸, 다이닝카페가 인상적입니다. 공원 규모는 축구장 11배 규모라는데요. 최근 분양했던 연희공원이 생각납니다.
계양 롯데캐슬 파크시티 2단지는 비규제지역으로 LTV70%를 적용하여 잔금대출을 받는다면, 2.0억+@(발코니, 옵션, 세금)이 필요할 것으로 예상됩니다. 안전마진이 없기때문에 필요현금이 많습니다. 그렇다면, 전매를 고려해볼 수 있는데요. 전매제한은 1년이고, 계약금은 10%, 중도금대출은 이자후불제입니다. 준공시점은 2027년 11월로 전매제한이 풀리는 2025년 5월부터 2년 6개월이나 시간이 있습니다.
계양 롯데캐슬 파크시티 2단지는 입지도 좋지 않고, 안전마진도 없습니다. 문제는 대안도 많다는 것입니다. 작전역 초역세권 힐스테이트자이계양 59타입 16층은 5.7억, 가정역 초역세권 루원시티SK리더스뷰 84타입 저층이 6.9억입니다. 실수요자들은 두 단지를 우선적으로 고려하셨으면 좋겠고요. 투자자들은 곧 나올 북변 우미린(전매제한 6개월)이나 오산 한신더휴(분상제) 줍줍에 참여하시는 것을 추천드립니다. 지금 계양 롯데캐슬 파크시티를 잡는 것보다는 2곳이 더 좋습니다. RR을 잡는다고 해도, 2023년 9월 분양했던 제일풍경채 계양 위너스카이가 7800만원 더 저렴합니다. 2025년 8월 준공되어 물량이 소진될 때까지는 단타로 매도하기는 쉽지 않아보입니다. 아래처럼 이벤트가 진행 중이니, 이벤트 정도만 참여해보시고 계약까지는 신중하시기 바랍니다. 이상, 부동산 리뷰해주는 남자, 부리남이었습니다.



분양 홈페이지
롯데캐슬
www.lottecastle.co.kr
단톡방 및 채널 안내
아래 단톡방은 별도 공지없이 매달 2일(7월 2일) 비밀번호 해제합니다.
오픈시간은 대체로 04-10시 사이입니다. 00시부터 대기하시지 않으셔도 됩니다.
함께 공부하는 단톡방 '부의 사다리'
부의 사다리 : https://open.kakao.com/o/gO3aTU6c
사다리
#이사 #안전이동 #고층가능 #안전포장
open.kakao.com
(오)늘의 (매)물 (기)록 : '오매기'
매일 단톡방 회원님들과 관심지역의 매물들을 공유하고 있는 방입니다. 매달 리포트 1건이 의무입니다. 열심히 하실 분들만 참석해주세요. 지난 하락장에서 부자들은 기회를 잡고 부의 사다리를 올랐습니다. 요새가 하락장이라면, 우리도 그래야합니다.
오매기 : https://open.kakao.com/o/gg4IrQAe
오매기
#쫀득쫀득 #당일취급 #제주도
open.kakao.com
붇옹산의 부동산스터디
대한민국 최고+최대의 부동산 카페의 방장님이신 붇옹산님의 네이버 프리미엄 콘텐츠에서도 제 글을 광고없이 만나실 수 있습니다. 붇옹산님이 직접 작성하시는 글을 볼 수 있는 기회는 흔치 않습니다. 부리남은 몰라도 삼토시님은 아시죠? 붇옹산, 삼토시, 그리고 부리남이 함께 하는 네이버 프리미엄 콘텐츠도 많은 관심 부탁드립니다.
붇옹산의 부동산스터디 : 네이버 프리미엄콘텐츠
200만 부동산스터디 카페 운영자 붇옹산의 부동산 투자로 돈 버는 공부.
contents.premium.naver.com
주의사항
1. 투자의 책임 : 게시글은 모집공고와 분양홈페이지를 기반으로 한 개인의 의견이며, 투자의 책임은 투자자 본인에게 있음을 알려드립니다.
2. 지적재산권 및 사용권한 : 본 포스팅의 지적재산권은 부리남에게 있으며, 컨텐츠의 사용권한은 별도의 계약을 체결한 자에 한합니다.