상시 줍줍! 이천 롯데캐슬 센트럴 페라즈 스카이 분양가, 대출

안녕하세요, 부동산 리뷰해주는 남자, 부리남입니다.
오늘은 이천 롯데캐슬 센트럴 페라즈 스카이 선착순동호지정계약(상시줍줍) 정보를 알아보겠습니다. 이천 롯데캐슬 센트럴 페라즈 스카이는 경기도 이천시 안흥동 284-2번지 일원에 위치합니다. 이천 롯데캐슬 센트럴 페라즈 스카이 지상 49층 3개동 총 801세대 규모입니다. 이중 잔여세대를 선착순동호지정계약(상시줍줍)으로 공급합니다.
이천 롯데캐슬 센트럴 페라즈 스카이는 롯데캐슬 패라즈스카이(2023년 준공, 49층, 299세대), 이천롯데캐슬골드스카이(2018년 준공, 49층, 736세대)의 마지막 퍼즐입니다. 마지막 퍼즐인만큼 가장 많은 세대, 가장 신축으로 주목을 받았는데요. GTX-D 소식 호재도 더해졌습니다. 최근 계약조건이 변경되어 다시 소개드립니다.
D·E·F노선 신설… 3기 신도시 전역 ‘GTX 생활권’ 묶는다-국민일보 (kmib.co.kr)
D·E·F노선 신설… 3기 신도시 전역 ‘GTX 생활권’ 묶는다
정부가 25일 발표한 GTX D·E·F노선 신규 구축 방안이 실현되면 수도권 내 광역급행철도 혜택을 보는 지역이 대폭 늘어나게 된다. 서울 인근으로는 청라·검단
www.kmib.co.kr
모집공고
청약자격
▶ 청약통장 사용 X
▶ 세대주, 세대원 모두 계약가능
▶ 유주택자도 계약가능
▶ 전입의무 / 실거주의무 無
▶ 중도금 대출 2건 가능(개인별 상이)
청약일정
- 최초 모집공고 : 2월 28일
- 선착순동호지정계약 : 상시
- 입주예정일 : 2027년 9월
청약방법
▶ 견본주택 방문
- 주소 : 경기도 이천시 진리동 58-6
- 문의 : 031-633-0801
▶ 견본주택 방문하여 동호 지정 및 계약
▶ 특이사항
* 계약금 5% 변경
▶ 공통 구비서류
(보통 안내는 이렇게 하지만, 실제로는 신분증과 계약금만 챙겨가시면 됩니다)
(추후 방문 제출 가능)
1) 신분증
2) 주민등록표등본 1부
3) 인감증명서(또는 본인서명사실확인서) 1부
4) 인감도장(또는 서명)
5) 대리인 추첨 및 계약 시(추가) : 위임장(견본주택 내 비치), 인감증명서(위임용) 1부, 대리인 신분증 및 도장
※ 모든 구비 서류는 1개월 이내 발급분에 한합니다.
※ 본인 외(배우자 포함) 모두 제3자로 간주합니다.

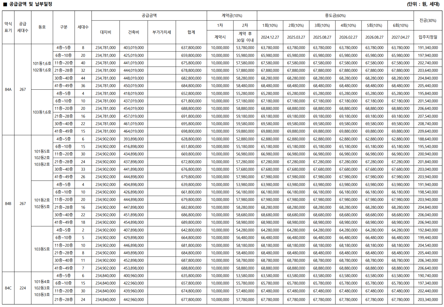
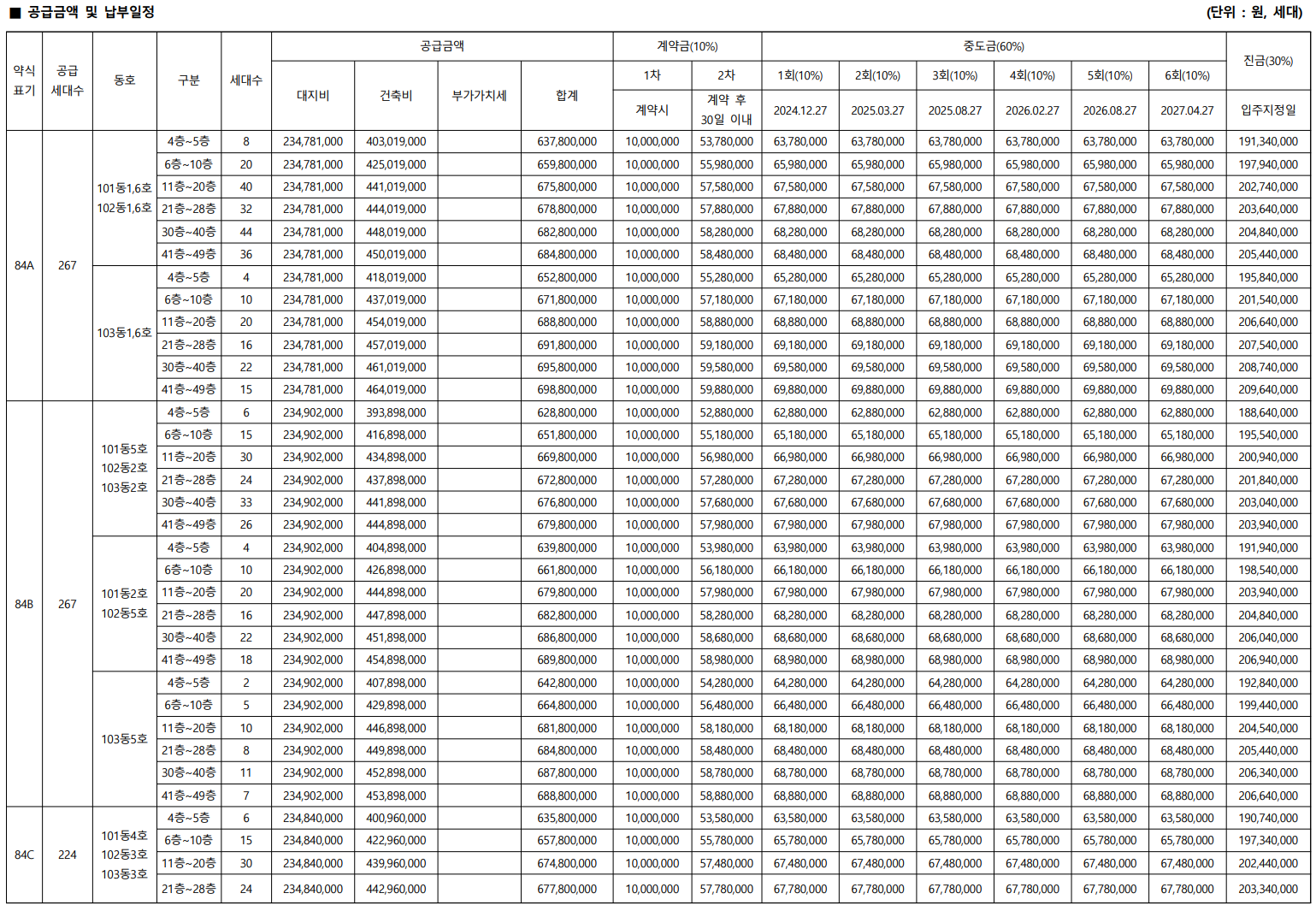
공급규모 및 분양가
총 801세대 일반분양
* 잔여세대 비공개
* 계약금 5%로 변경
- 84A타입(267세대) : 6.98억
- 84B타입(267세대) : 6.89억
- 84C타입(224세대) : 6.94억
- 122타입(43세대) : 9.97억




단지배치도 및 평면도







입지환경








부리남 분석
1. 비교단지 호가 vs 분양가
- 롯데캐슬페라즈 스카이 84㎡ 호가 : 5.7억
- 이천 롯데캐슬 센트럴 페라즈 84㎡ 분양가 : 6.98억
- 롯데캐슬페라즈 스카이(2023년 4월, 299세대)는 롯데마트를 품고있지만 소단지입니다. 동일브랜드와 상품성을 가지고 있지만, 세대수와 연식차이가 있습니다. 비교가치는 6.16억으로 안전마진은 없습니다.
2. 규제사항 : 비규제지역, 분양가 상한제 미적용
3. 전매제한(당첨자 발표일 기준) : 6개월
4. 재당첨 제한(당첨자 발표일 기준) : 없음
5. 거주의무(입주시점 기준) : 없음
6. 중도금 대출 : 60%, 이자후불제
7. 최초 경쟁률

8. 최종 의견
이천 롯데캐슬 센트럴 페라즈는 49층 브랜드 대단지로 관심을 받았지만, 안전마진이 없습니다. 특히, 앞 단지 롯데캐슬골드스카이에 의해서 조망이 걱정인데요. 이런점을 감안해 거실위치와 동호배치에 신경을 썼습니다. (그렇다고 해결되었다는 뜻은 아닙니다).
이번에 계약금 5%는 투자자를 유혹하는 조치인데요. 전매제한 6개월이지만, 시세보다 비싸 분양권 거래는 어려워보입니다. 그나마 다행인 점은 준공시기가 2027년 9월입니다. 시간이 많은 만큼, 시장의 반등을 기대해볼 수는 있습니다. 다만, GTX-D 호재도 이천역과는 거리가 있어 영향권이라고 하기에는 어렵습니다.
안전마진이 없기 때문에 전매보다는 실거주하실 분들만 고층 잡으시려고 가시면 된다고 말씀드렸는데요. 1월부터 시작된 선착순에 고층이 남아있을 지 모르겠습니다. 그냥 다른 곳을 찾아보시는 게 좋아보입니다. LTV 70%를 적용하면, 필요현금은 2.09억+@(취득세, 발코니확장, 옵션)입니다. 추가혜택이 없다면, 완판까지는 시간이 오래 걸릴 것 같은데요. 최초 리뷰 때 대안으로 소개드렸던 이천 중리 우미린 어반퍼스트는 분양이 완료되었습니다. 분양가상한제가 적용되어 84타입 5.21억이었거든요. 이상, 부동산 리뷰해주는 남자, 부리남이었습니다.

단톡방 및 채널 안내
아래 단톡방은 별도 공지없이 매달 2일(6월 2일) 비밀번호 해제합니다.
오픈시간은 대체로 04-10시 사이입니다. 00시부터 대기하시지 않으셔도 됩니다.
함께 공부하는 단톡방 '부의 사다리'
부의 사다리 : https://open.kakao.com/o/gO3aTU6c
사다리
#이사 #안전이동 #고층가능 #안전포장
open.kakao.com
(오)늘의 (매)물 (기)록 : '오매기'
매일 단톡방 회원님들과 관심지역의 매물들을 공유하고 있는 방입니다. 매달 리포트 1건이 의무입니다. 열심히 하실 분들만 참석해주세요. 지난 하락장에서 부자들은 기회를 잡고 부의 사다리를 올랐습니다. 요새가 하락장이라면, 우리도 그래야합니다.
오매기 : https://open.kakao.com/o/gg4IrQAe
오매기
#쫀득쫀득 #당일취급 #제주도
open.kakao.com
붇옹산의 부동산스터디
대한민국 최고+최대의 부동산 카페의 방장님이신 붇옹산님의 네이버 프리미엄 콘텐츠에서도 제 글을 광고없이 만나실 수 있습니다. 붇옹산님이 직접 작성하시는 글을 볼 수 있는 기회는 흔치 않습니다. 부리남은 몰라도 삼토시님은 아시죠? 붇옹산, 삼토시, 그리고 부리남이 함께 하는 네이버 프리미엄 콘텐츠도 많은 관심 부탁드립니다.
붇옹산의 부동산스터디 : 네이버 프리미엄콘텐츠
200만 부동산스터디 카페 운영자 붇옹산의 부동산 투자로 돈 버는 공부.
contents.premium.naver.com
주의사항
1. 투자의 책임 : 게시글은 모집공고와 분양홈페이지를 기반으로 한 개인의 의견이며, 투자의 책임은 투자자 본인에게 있음을 알려드립니다.
2. 지적재산권 및 사용권한 : 본 포스팅의 지적재산권은 부리남에게 있으며, 컨텐츠의 사용권한은 별도의 계약을 체결한 자에 한합니다.