상시 줍줍! 트리우스 광명 분양가, 평면도, 중도금대출

안녕하세요, 부리남입니다.
오늘은 트리우스 광명 선착순동호지정계약(상시 줍줍) 정보를 살펴보겠습니다. 트리우스 광명은 경기도 광명시 광명1동 12-2번지 일대에 위치합니다. 트리우스 광명은 최고 35층, 26개 동, 총 3344세대 규모입니다. 광명2R구역 재개발사업으로 일반분양은 730세대를 했는데요. 이중 잔여세대를 선착순 계약으로 공급합니다.
트리우스 광명은 11월 18일 선착순 줍줍까지 진행하였지만, 결국 완판되지 못하고 상시 줍줍까지 넘어와 소개드렸는데요. 비슷한 가격에 분양했던 철산자이 브리에르는 완판되었습니다. 그리고, 뒤이어 분양했던 광명자이힐스테이트 SKVIEW의 청약성적에 따라 완판여부가 달려있었는데, 이 단지 역시 2순위까지 진행하였지만, 소형평형에서 미달이 발생하였습니다. 트리우스 광명은 광명의 타단지와 달리 전매제한이 풀리고 시간이 짧다는 것 외에는 나름 장점이 있었던 곳인데요. 최근 조건변경 소식이 있다고 해서 다시 한번 살펴봅니다.

모집공고
(오른쪽 화살표를 눌러야 볼 수 있습니다)
청약자격
▶ 청약통장 사용 X
▶ 세대주, 세대원 모두 계약가능
▶ 유주택자도 계약가능
▶ 전입의무 / 실거주의무 無
▶ 중도금 대출 2건 가능(개인별 상이)
▶ 취득세 1.1% (2주택자 까지 해당)
청약일정
- 최초 모집공고 : 10월 6일
- 선착순 계약일 : 상시
- 입주예정일 : 2024년 12월
청약방법
모델하우스 방문
▶ 장소(견본주택) : 서울특별시 구로구 오류동 332-12번지
▶ 대표번호 : 1800-2332
▶ 특이사항
1) 계약금 1천만원
2) 계약금 10%에서 5%로 변경됨
▶ 구비서류
* 종종 아래 서류 없다고 포기하시는데요.
* 신분증+계약금만 있으면 됩니다(추후 서류제출가능)
1) 신분증
2) 주민등록표등본 1부
3) 인감증명서(또는 본인서명사실확인서) 1부
4) 인감도장(또는 서명)
5) 대리인 추첨 및 계약 시(추가) : 위임장(견본주택 내 비치), 인감증명서(위임용) 1부, 대리인 신분증 및 도장
※ 모든 구비 서류는 1개월 이내 발급분에 한합니다.
※ 본인 외(배우자 포함) 모두 제3자로 간주합니다.
▶ 수입인지 : 15만원


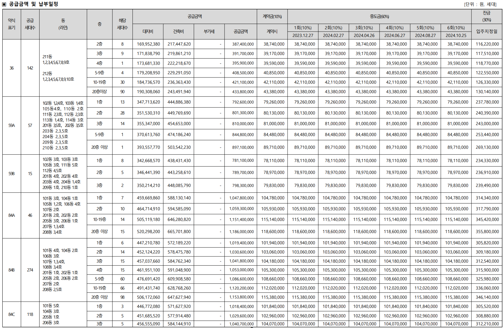
공급규모 및 분양가
총 3344세대 중 730세대 일반분양
* 발코니 확장 및 전동빨래건조대 무상 제공
* 잔여세대 비공개(59타입 완판)

- 36타입(142세대) : 4.33억
- 59A타입(57세대) : 8.97억
- 59B타입(15세대) : 7.98억
- 84A타입(46세대) : 11.86억
- 84B타입(274세대) : 11.53억
- 84C타입(118세대) : 11.52억
- 102A타입(20세대) : 13.95억
- 102B타입(58세대) : 13.65억



단지배치도 및 평면도











입지환경







부리남 분석
1. 비교단지 호가 vs 분양가
- 광명푸르지오포레나 84㎡ 호가 : 10.5억(26층/36층)~
- 트리우스 광명 84㎡ 분양가 : 11.86억
- 광명푸르지오포레나(2023년 9월준공, 1187세대)를 비교 단지로 잡았습니다. 최근 입주를 완료한 단지로 7호선 광명사거리역과의 거리는 조금더 가깝고, 초등학교와의 거리는 조금더 먼 단지입니다. 입주장으로 상대적으로 호가는 낮은 편인 점을 감안한 비교가치는 11.24억으로 안전마진은 없습니다.

2. 규제사항 : 비규제지역, 분양가 상한제 미적용
3. 전매제한(당첨자 발표일 기준) : 1년
4. 재당첨 제한(당첨자 발표일 기준) : 없음
5. 거주의무(입주시점 기준) : 없음
6. 중도금 대출 : 60%, 이자후불제
7. 최초 경쟁률

8. 최종 의견
트리우스 광명은 안전마진이 없습니다. 하지만, 잘 안나오는 중대형 평형과 목감천뷰가 가능한 동호수가 남아있다는 점에서 관심을 가져볼만합니다. 갈아타기 하실분들에게는 좋은 기회로 보입니다. 절대적인 분양가 부담때문인지, 매물소진은 소형평형, 저층위주로 먼저나가고 있습니다.
트리우스 광명은 2024년 10월말에 전매가 풀리고, 2024년 11월 준공입니다. 전매가 불가능한 것은 아니지만, 투자자에게는 부담스럽습니다. 그나마 최근 계약금이 5%로 변경되면서, 84타입 기준으로 계약금은 1.18억에서 5930만원으로 부담이 훅 줄어듭니다.
비규제지역으로 LTV 70% 잔금대출을 받을 수 있고, 필요현금은 3.56억+@(발코니확장, 옵션, 세금)입니다. 거주의무는 없지만, 전세로 잔금치시려는 분들에게는 다시 한번 주의를 당부드립니다. 아래와 같이 2025년은 준공이 몰려있습니다. 차라리 잔금대출 받고, 입주하시는 것을 추천드립니다. 이상, 부동산 리뷰해주는 남자, 부리남이었습니다.

분양 홈페이지
트리우스 광명
www.prugio.com
단톡방 및 채널 안내
아래 단톡방은 별도 공지없이 매달 2일(2월 2일) 비밀번호 해제합니다.
오픈시간은 대체로 04-10시 사이입니다. 00시부터 대기하시지 않으셔도 됩니다.
함께 공부하는 단톡방 '부의 사다리'
부의 사다리 : https://open.kakao.com/o/gO3aTU6c
사다리
#이사 #안전이동 #고층가능 #안전포장
open.kakao.com
(오)늘의 (매)물 (기)록 : '오매기'
매일 단톡방 회원님들과 관심지역의 매물들을 공유하고 있는 방입니다. 매달 리포트 1건이 의무입니다. 열심히 하실 분들만 참석해주세요. 지난 하락장에서 부자들은 기회를 잡고 부의 사다리를 올랐습니다. 요새가 하락장이라면, 우리도 그래야합니다.
오매기 : https://open.kakao.com/o/gg4IrQAe
오매기
#쫀득쫀득 #당일취급 #제주도
open.kakao.com
주의사항
1. 게시자 : 부리남은 청약강사나 청약전문가가 아니며, 강의나 출판에 관심이 없습니다. 댓글을 통한 출판사나 학원의 강의요청은 정중히 거절합니다. 모집공고와 분양홈페이지를 기반으로 포스팅을 합니다. 자주 틀립니다. 틀린 부분을 알려주시면, 수정합니다.
2. 투자 : 부리남 개인적인 의견이니 투자의 책임은 투자자 본인에게 있음을 알려드립니다.
3. 저작권 : 본 포스팅을 무단복제한 경우, 사전 안내없이 네이버/다음에 신고합니다. 계정정지나 삭제의 불이익이 없도록 무단복제는 주의 부탁드립니다.